Cláudio Possani
IME - USP

Há pouco tempo um aluno, o Bruno, me perguntou o porquê da multiplicação de matrizes ser efetuada do modo como é usual. Este artigo é uma tentativa de responder a esta pergunta.

Vamos ver quando e como o produto matricial foi "criado" ("descoberto" ?; "inventado" ?). Se alguém, em algum momento da História, começou a multiplicar matrizes fazendo o produto das linhas pelas colunas, esta pessoa deve ter tido um bom motivo para fazê-lo.

Tradicionalmente ensinamos Matrizes, Determinantes e Sistemas Lineares nesta ordem, o que é razoável do ponto de vista lógico, mas é bom observar que historicamente as coisas não se passaram assim. Creio não ser exagero dizer que o estudo de Sistemas de Equações, lineares ou não, se perde na História e é impossível estabelecer um "início" para a teoria. Determinantes foram aparecendo aqui e acolá, inicialmente associados à resolução de sistemas (já na China antiga!).

Cramer publicou um trabalho em 1750 no qual aparece a regra que hoje tem seu nome, embora esta regra já fosse conhecida.

O nome "determinante" foi utilizado pela primeira vez por Cauchy em 1812, e por essa ocasião determinantes também apareciam na Geometria.

As matrizes aparecem mais tarde! Até então não se falava em

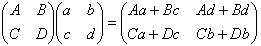
O conceito de matriz aparece em 1858 num trabalho de Cayley sobre transformações do plano, e a operação matricial envolvida é justamente o produto. Cayley considerava transformações (lineares) do plano IR2 em si próprio do tipo

T(x;y) = (ax + by ; cx + dy)

Se não quisermos pensar em transformações, podemos considerar mudanças de variáveis.

Suponhamos duas mudanças de variáveis:

Como podemos expressar   e   em termos de  y?

Substituindo as expressões de  T1  em  T2 obtemos:

que fornece r e s em termos de x e y bastava colocar as matrizes de T2 e T1 lado a lado e "multiplicá-las" da maneira como fazemos até hoje:

Em linguagem de transformações, a matriz da direita é a matriz da transformação composta . Lembrando que a composição de duas funções não é comutativa, isto é, em geral f g b f, vemos como é natural que o produto matricial não comute.

As operações de adição matricial e multiplicação por escalar vieram depois! A segunda metade do século XIX foi um período muito rico para o desenvolvimento da Álgebra, e a idéia de se estudarem estruturas algébricas abstratas ganhava força nessa época. O próprio Cayley (além de B. Peierce e C. S. Peierce), considerando estas operações e o produto matricial, criou o que hoje chamamos de "Álgebra das Matrizes", que fornece um dos primeiros exemplos de estrutura algébrica com uma operação não comutativa.

A partir daí a Teoria de Matrizes não parou de ganhar importância dentro e fora da Matemática; vejamos duas aplicações simples do produto matricial:

Exemplo 1

Um sistema   m x n  de equações lineares

pode ser escrito, de maneira concisa, como

A . X = B

Se m = n o sistema será determinado se, e somente se, A for inversível   (   det A 0)   e sua solução pode ser obtida como:

X = A-1 . B

Exemplo 2

Imaginemos a seguinte situação: uma empresa compra "matéria-prima" (peças, componentes, etc.) e os utiliza para fabricar "produtos". Vamos indicar numa matriz P (Produção) a quantidade de matéria-prima utilizada na produção de cada produto.

 

Nesta matriz aij é a quantidade de matéria-prima   Mj  utilizada na produção do produto  Pi.

Vamos representar numa matriz de "custos" C o preço de cada matéria em condições diferentes de compra (preço à vista, a prazo, para pequenas ou grandes compras, etc):

 Nesta matriz o elemento bij   é o preço da matéria-prima  Mi comprada nas condições  Cj.

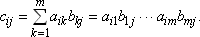
O produto P . C é uma matriz  (n x p)  formada por elementos cij que representam o custo de se produzir o produto Pi, comprando a matéria-prima nas condições   Cj, já que

Para finalizar, duas observações: em primeiro lugar, gostaria de destacar a importância de se entender o contexto em que as idéias e teorias matemáticas são desenvolvidas. O produto matricial, que à primeira vista é um tanto artificial, fica natural quando percebemos qual é seu significado geométrico e qual foi a motivação de quem o criou. Acredito que sempre que estudamos ou ensinamos um determinado tópico, deveríamos ter esta preocupação em mente.

Em segundo lugar, a Teoria das Matrizes é um ótimo exemplo de como uma teoria científica vai adquirindo importância e tendo aplicações que transcendem o objetivo inicial com que foi criada. É muito difícil julgar o valor de uma idéia no momento em que ela nasce. O tempo é o grande juiz, que decide quais descobertas científicas são, de fato, relevantes.

 

Referências Bibliográficas

As referências históricas são tiradas de

[1]  Boyer, Cari B.  História da Matemática.    Editora Edgard Blücher, São Paulo, 1974.

[2] Milies, César Polcino. Breve Introdução à História da Álgebra.. XI Escola de Álgebra. São Paulo, 1990.

Aplicações como a do exemplo 2) acima e aplicações à teoria de probabilidade podem ser encontradas no capítulo 1 do livro abaixo, redigidas de maneira bastante acessível.

[3] Boldrini, J. L., Costa, S. R., Ribeiro, V. L. F. F., Wetzler, H. G. Álgebra Linear. Harbra, Paulo, 1978.