João Calixto Garcia
Suzano, SP

É comum o comércio fazer "promoções" do tipo

Compre à vísta com  20%  de desconto ou em três vezes sem juros.

Supondo que tenhamos dinheiro suficiente para comprar em qualquer das duas formas, qual será a melhor alternativa?

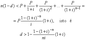
Para resolver esse problema, representemos por i a taxa à qual conseguimos investir nosso capital, taxa essa que é tecnicamente chamada de taxa mínima de atratividade (e que é, para a maioria das pessoas, a taxa de rendimentos da caderneta de poupança, da ordem de 0,15 = 15% ao mês em meados de 1991). Isso significa que conseguimos transformar uma quantia P em P + Pi = P(1 + i) após um mês, em P(1+ i) + iP(1+ i) — P(1 +i)2 após dois meses, etc. Portanto, uma quantia igual a P hoje tem o mesmo valor de uma quantia   P(1 + i)   após um mês, etc.

Ora, comprando em três vezes sem juros (supondo as prestações iguais e a primeira prestação paga no ato da compra) teremos o esquema de desembolsos da figura ao lado. Ou seja, pagamos P agora, P daqui a um mês, P daqui a dois meses. Isso equivale a desembolsar agora

Como o preço à vista (sem desconto) seria  3P  e com desconto à taxa d seria 3P d3P = 3P(l d), a compra à vista com desconto seria vantajosa se, e só se,

3P(1 d) < 2,626P,        ou seja,       d> 0,12=12%.

Então, no caso em questão, a compra à vista com desconto é mais vantajosa.

No caso geral, "à vista com desconto de taxa d, ou, em n parcelas iguais sem juros" (a primeira parcela paga no ato da compra), a compra à vista é mais vantajosa se, e só se,

A tabela abaixo mostra, para vários valores de n, a taxa de desconto no preço à vista a partir da qual a compra à vista é mais vantajosa.

 

 

João Calixto Garcia é graduado em Matemática pela UNESP-Rio Claro, tendo atuado como professor de Física no CEFAM de Suzano. Fez curso de especialização em Matemática na Universidade São Judas Tadeu, São Paulo.