A MATEMÁTICA de jornais e revistas

Kátia Cristina Stocco Stnole
Marília Rumos Centurión

São Paulo, SP

Jornais e revistas são fontes de materiais interessantes para as aulas de Matemática. Trazem assuntos que podem ser explorados em classe, aproveitando se os fatos e acontecimentos que fazem parte do dia a dia do aluno.

Está cada vez mais claro que a aquisição do conhecimento ma temático não ocorre de forma isolada e tampouco pode continua parecendo, para o aluno, "uma questão de fé". Assim, é importante que se estabeleça uma interação aluno-realidade social que possibilite uma integração real da Matemática com o cotidiano e com as demais áreas do conhecimento; o ensino de Matemática deve ser entendido como parte de um processo global na formação do aluno, enquanto ser social.

Embora haja um grande número de professores de Matemática preocupados em mudar sua prática pedagógica, eles se deparam com inúmeras dificuldades, como a falta de opção por materiais de ensino e a falta de problemas "reais" para serem propostos para os alunos.

Neste artigo desejamos mostrar que jornais e revistas podem ser, dentre outros, um material de ensino bastante rico, com a vantagem do baixo custo. A título de exemplificação vamos sugerir algumas atividades formuladas a partir de artigos retirados de periódicos.

 

     Alguns cuidados são necessários

É importante que, ao selecionar um artigo, o professor tenha claros os objetivos a serem atingidos. Além disso, é preciso avaliar previamente o artigo, verificar se ele tem uma linguagem acessível aos alunos e escolhê-lo de modo que tenha a extensão adequada ao tempo disponível para a aula. Estes são alguns dos cuidados que o professor deve observar no preparo de trabalhos com artigos de jornais e revistas.

 

     Atividades

Atividade 1:

As pesquisas de opinião que estão sempre presentes nas páginas de jornais e revistas podem dar início a um trabalho com porcentagens, tabelas e gráficos dos mais diversos tipos. Pode-se, ainda, escolher um artigo que permita discutir o modo como se realiza uma pesquisa, bem como situações que propiciem análise e interpretação de dados estatísticos.

As chuvas que inundaram São Paulo no mês de março de 1991 criaram uma situação de completo caos. No dia 19 de março, a cidade parou: ruas alagadas, carros submersos e estradas interrompidas. Todo isso fez com que a imprensa, de um modo geral, focalizasse sua atenção neste fenômeno meteorológico.
 

Artigo A

O jornal  Folha de São Paulo publicou em 20/03/91 um quadro comparativo dos índices pluvio-métricos dos meses de março de 90 e 91.

Artigo B

 

Em 28/03/91, a Folha publicou o resultado de uma pesquisa apontando qual o maior problema vivido pela classe média  paulistana:

a) A partir do artigo B pode-se discutir com o aluno aspectos relativos a uma pesquisa estatística:

-    Por que se fazem pesquisas estatísticas?

-   Como se coletam dados em uma pesquisa?

-   Como, a partir dos dados, se conclui a pesquisa?

-   Se esta mesma pesquisa fosse realizada numa época de seca, será que o maior problema acusado pela classe média ainda seria  "enchente" ?

-    Uma pesquisa estatística pode influenciar a opinião pública?

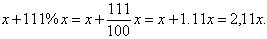
(b) O artigo A menciona um acréscimo de 111% nas chuvas de março de 91.

-    Como se pode obter o porcentual a partir dos dados?

-    Como utilizar a calculadora para o cálculo das porcentagens?

A última questão pode ser resolvida, por exemplo, assim: para acrescentar 111% ao índice de 1990 (supondo que a calculadora tenha a tecla % ), digite 147,2; aperte a tecla +, depois digite 111, e a seguir aperte a tecla %.

Aqui é interessante explorar o seguinte: acrescentar 111% a um determinado número é o mesmo que multiplicar este número por 2,11, pois:

Pode-se ainda relacionar este fato com o modo de se fazer a conta na calculadora.

(c) No artigo B podemos discutir com o aluno a confecção de gráficos circulares. Por exemplo:

-  Como se pode obter o ângulo do setor do círculo correspondente ao problema   "enchente"   (25%)?

Artigo C

Em 29/03/91, a Folha publicou um "Guia para não dançar (na chuva)", com algumas "dicas" de como se sair bem em situações provocadas por inundações.

Artigo D

No dia seguinte, a Folha. apontou um dado incorreto na reportagem:

(d) A informação equivocada e sua correção podem dar margem a uma interessante discussão envolvendo medidas, distâncias e estimativas. Pode-se também questionar a correção da informação pelo jornal: é verdadeira a informação da troca de velas a cada 10 mil km? Podemos também explorar a informação propondo um problema: se a distância de São Paulo ao Rio de Janeiro é de aproximadamente 400km, quantas vezes pode-se fazer este percurso sem trocar as velas?

Artigo E  

A título de esclarecer o leitor acerca de como são obtidos os índices pluvio-métricos, a Folha publicou em 29/03/91 "Como é um pluviômetro":(e) O que aconteceria se a boca do funil fosse maior que o fundo da garrafa? E se fosse menor?

Também podem ser propostas atividades relativas ao cálculo de volumes.

Esta sequência de artigos, todos ligados a um mesmo fato, vivenciado num mesmo período, propicia um trabalho bastante diversificado quanto aos tópicos matemáticos envolvidos, dos quais escolhemos apenas alguns, a título de exemplificação.

O trabalho com artigos de jornal ou revista serve, entre outras coisas, para relacionar o conteúdo matemático com suas aplicações e implicações, contribuindo assim para que os conteúdos explorados adquiram significado.

Atividade 2:

 

Selecionamos para a atividade seguinte um anúncio de venda de apartamento publicado na seção de classificados de um jornal paulista. Nele aparecem a área total ocupada pelo apartamento e sua localização. Não é mencionada a escala da planta.

- Suponhamos que a escala seja 1:100. O que isto significa? Neste caso, qual é, aproximadamente, a área total do apartamento?

-   O folheto mostra a seguinte medida: 154 m2. O que significa esta medida?

-   Qual é, aproximadamente, o tamanho do ladrilho dos banheiros?   (Encontre os valores para cada banheiro e faça a média aritmética.)

-   Suponha que para ladrilhar a área de serviço e a cozinha seja utilizado o mesmo ladrilho dos banheiros. Quantos ladrilhos serão necessários?

-    Por que um mapa aparece junto à planta?

   Se você estivesse na esquina da av. Vereador José Diniz com a rua Marechal Deodoro, como faria para chegar ao local do apartamento?

-   Oriente alguém que está na esquina da av. João Dias com a rua São José para chegar ao local do prédio.

O anúncio sugere ainda outras discussões, como por exemplo: o que é VRF?

Podem ser propostos problemas sobre o custo dos ladrilhos e esta atividade pode também ser utilizada para motivar a confecção de planta baixa e de maquetes.

 

     Considerações finais

Um sistema educativo deve ter, como um de seus objetivos, o desenvolvimento das capacidades do educando em função de seu uso social, nas dimensões cultural, econômica e política.

Segundo Brunner, "... uma teoria de instrução procura levar em conta o fato de que um currículo reflete não somente a natureza do próprio conhecimento (as capacidades específicas), como também a natureza do conhecedor e a pureza do conhecimento .... Instruir alguém em Matemática não é fazê-lo armazenar resultados na mente. E ensiná-lo a participar do processo que torna possível o estabelecimento do conhecimento. Ensinamos uma disciplina não para produzir pequenas livrarias ambulantes sobre o assunto, mas a fim de levar o estudante a pensar matematicamente por si mesmo, para observar os fatos, da mesma forma que um historiador, para tomar parte no processo de conquista do conhecimento. Conhecer é um processo, não Um produto". (Bruner, J. S. The Process of Education. Harvard U. Press )

É, pois, fundamental que o estudo da Matemática seja calcado em situações-problema que possibilitem a participação ativa na construção do conhecimento matemático. O aluno desenvolve seu raciocínio participando de atividades, agindo e refletindo sobre a realidade que o cerca, fazendo uso das informações de que dispõe. Se quisermos melhorar o presente estado de conhecimento, devemos nos questionar sobre como pode, de fato, o nosso aluno desenvolver o pensamento crítico ou raciocínio lógico.

 

Referências Bibliográficas

Para ler mais sobre este assunto, indicamos:

[1]   D'Ambrósio,U. Da realidade á ação; reflexões sobre Educação e Matemática. Campinas, Summus,1986.

[2]   __________________ . Etno/matemática. São Paulo, Ática, 1990.

[3]   Nobre, Sérgio R. Aspectos sociais e culturais no desenho curricular da Matemática. Tese de mestrado apresentada à UNESP de Rio Claro, 1989.

[4]   Osborne, A.R. e Reagan, G.M. O raciocínio lógico: uma meta educacional, in Theory into Practice, vol. XII(5), 1973.

      e Jornais em aulas de Matemática, in Cadernos de Prática de Ensino-série Matemática n 2. São Paulo, FEUSP, 1990.

        Notícia de jornal, in Revista do Ensino de Ciências n.° 16. São Paulo, FUNBEC, 1986.

 

Kátia Cristina Stocco Smole é professora do CEFAM Ceciliano J. Ennes e técnica do projeto Base 10 do CAEM-IME/USP.

Marília Ramos Centurión trabalha na FUNBEC-SP