Maria Alice Gravina
IM - UFRS

Pretendemos, neste artigo, ilustrar uma maneira bastante natural de enriquecer o estudo de funções no 2 grau. Nos livros didáticos deste nível, os conteúdos relativos ao estudo de funções, no geral, restringem-se à classificação das funções (lineares, quadráticas, polinomiais, trigonométricas, etc.) e à listagem de uma série de propriedades que dizem respeito a aspectos operacionais. Pouca ênfase é dada ao uso de funções na resolução de problemas quando este deveria ser um dos aspectos fundamentais na formarão matemática de nossos alunos.

O problema que propomos estudar é o seguinte: são dados diversos reservatórios (figura 1) com a mesma capacidade e a mesma altura:

Temos torneiras enchendo cada uni dos reservatórios e vamos admitir que a vazão da água é a mesma para todos eles, constante e igual a   k   metros cúbicos por minuto.

Queremos analisar o comportamento do nível de água no decorrei do tempo. Seja fi(t) a altura do nível de água no instante t (i = 1,2,3,4,5,6, conforme o reservatório); vamos medir a altura em metros e o tempo em minutos.

Temos  fi(0) = 0 e fi(T) = A, onde A é a altura dos reservatórios e   T  é o tempo necessário para enchê-los.

E claro que a altura  fi(t) aumenta à medida que t aumenta, ou seja, todas as funções são crescentes. Mas existem diferenças significativas nestas funções que dizem respeito ao aumento mais rápido ou mais lento do nível de água, conforme o tipo de reservatório.

Analisando a forma de cada um dos reservatórios, podemos esboçar os gráficos das alturas. Por exemplo:

-     em (1), no início do processo, a altura aumenta rapidamente e depois continua aumentando, mas não mais tão rápido;

-     em (2) o processo é inverso ao de (1);

-     em (3) a altura aumenta de modo uniforme;

-     em (4) a altura vai aumentando cada. vez mais devagar, até chegar à metade do reservatório, depois reverte o seu comportamento;

-     em (5), até a metade do reservatório o comportamento é similar ao de (2) e depois, similar ao de (1); no meio do reservatório tem-se a altura aumentando rapidamente.

-     em (6) o comportamento é similar ao de (5), porém no meio do reservatório a altura não aumenta de modo tão rápido.

Obtemos, desta forma, os esboços de gráficos:

Nosso objetivo é entender qual o conceito matemático que registra estas diferenças no comportamento crescente das funções.

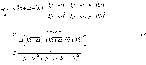
Ao esboçar os gráficos, o que fizemos, intuitivamente, foi analisar a rapidez com que sobe o nível de água em intervalos de tempo bastante pequenos. Se t é uma fiação de tempo, t é um dado instante de tempo e   [t, t + t]   é um tal intervalo, a razão

(que é uma razão do tipo metros/minuto) nos fornece quantos metros por minuto está subindo o nível de água no intervalo [t, t + t], já que  fi(t + t)  fi(t) é a variação do nível de água neste intervalo e   t   é a fiação de tempo decorrida a partir de  t.

Vamos analisar esta razão graficamente, para isto tomando intervalos de tempo de mesmo tamanho t em diferentes fases do processo. Assim, nos gráficos a seguir, vemos que, conforme avançamos no tempo:

(a)      fi / t  diminui, o que nos diz que o aumento do nível de água é cada vez mais lento (figura 3);

(b)      f3 /t   é constante, o que nos diz que o aumento do nível de água é sempre o mesmo (figura 4);

(c)        f4 / t    diminui até chegar ao meio do processo e, depois, começa a aumentar, o que nos diz que o nível de água sobe cada vez mais devagar até a metade do reservatório e, depois, cada vez mais rápido (figura 5);

(d)       deixamos os casos  f2/t,  f5/t  f6 / t para o leitor analisar (compare    f2/t   com    f1/t  e    fi/t  com  f6 / t).

É importante notar que a razão  f1/t nos dá a informação relevante sobre como é o crescimento de  fi sempre que t for bastante pequeno e, quanto menor t, melhor é a informação. Se t for grande, o crescimento mais rápido ou mais lento do nível de água não é registrado urna vez que, na média, esta informação se perde.

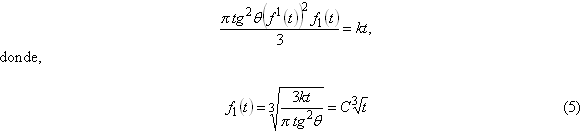
Vamos, a seguir, calcular com uma boa aproximação a razão  f1 / t. Para isso precisamos de uma expressão analítica de  fi . Temos na figura 6 um corte longitudinal do reservatório (l). Seja o ângulo conforme a figura, A, a altura e r, o raio do reservatório. Sejam  fi(t) e r1(t), respectivamente, a altura e o raio do cone de água no instante t. Lembrando que o volume de um cone é

Por outro lado,

V(t) = k(t)                                                          (3)

pois estamos admitindo que a vazão de água é   km3 /min.

Igualando (2) e (3), obtemos

No triângulo de catetos f1(t) e r1(t)  temos rl(t) = f1(t) tg , que, substituído em (4), nos leva a

e fazendo simplificações, obtemos:

e, conforme t se aproxima mais e mais de zero, vemos em (6) que a razão f1 / t se aproxima mais e mais de   C / 3 ( )2. Anotamos isto por

A partir de (7) obtemos informação bastante boa de como está aumentando o nível de água no intervalo de tempo   [t, t + t]:

desde que Aí seja bastante pequeno (pense em Aí como urna fração muito pequena de um minuto). Por exemplo:

no intervalo de tempo de   1   a   1 + t,   o nível de água está subindo, aproximadamente na razão de   C/3   metros/minuto;

-  no intervalo de tempo de  8  a 8 + t,  o aumento é, aproximadamente.   C/12 metros/minuto. Em (7) obtivemos a função de  t:

e, como vimos, é esta função que nos informa como é a variação do nível de água no reservatório (1). Vemos em (8) que, conforme t aumenta, g1(t) diminui, o que corresponde ao já sabido crescimento mais lento do nível de água conforme o processo avança.

Procedimento similar pode ser feito para as demais funções fi, se quisermos obter uma boa aproximação para f1 / t e isto é importante quando desejamos obter resultados numéricos no problema.

Em geral, se uma certa função f descreve um fenômeno em que o tipo de crescimento (ou decrescimento) é informação relevante na compreensão do processo, devemos estudar a função

que é conhecida como a derivada da função f. Este estudo de funções através do sua derivada normalmente não é tópico presente nos conteúdos do 2 grau. Esperamos que o problema aqui estudado tenha ilustrado como o conceito de derivada de uma função é simples e naturalmente necessário na resolução de problemas. Por isso. deveria estar presente nos programas de Matemática de nossas escolas

Finalizamos, recomendando ao leitor o artigo O Ensino do Cálculo no 2.° grau de Geraldo Ávila, na RPM 18, no qual o autor argumenta em favor da retomada do estudo de derivada e integral no 2 grau. (Veja também o artigo Cálculo no 2.° grau  nesta RPM.)

 

Maria Alice Gravina é professora do Instituto de Matemática da Universidade Federal do Rio Grande do Sul. Seus interesses incluem o ensino da Matemática, já tendo ministrado cursos de extensão para professores de 1 e 2 graus.