Uma equação interessante

Cláudio Possani
IME - USP

Há algum tempo, o professor Sidney Luiz Cavallanti mostrou-me a equação

e fez a seguinte observação: apesar de, no decorrer da resolução, elevarmos as equações somente a potências ímpares (duas elevações ao cubo), ainda assim, surpreendentemente, aparece uma raiz falsa. Por quê?

Antes de mostrar como o professor Sidney resolveu a equação, vejamos o porquê da sua surpresa.

Sabemos que

 

mas a recíproca desta afirmação só é verdadeira se   n   for ímpar. Isto é,

É fácil ver que a propriedade xn = yn x = y não vale se for par - basta observar que   52=(5)2  e   5 5.

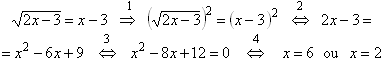
Estes fatos aparecem nitidamente quando, no final do 1° grau, resolvemos com nossos alunos as equações irracionais. Vejamos um exemplo: Resolver

As passagens 2, 3 e 4 são equivalências, mas a recíproca da implicação 1 não é verdadeira. E por isso que, após resolvermos a equação, "testamos" as raízes encontradas, para ver se elas, de fato, satisfazem a equação inicial. No exemplo, 6 é raiz de (2), mas 2 não é.

Portanto, estamos acostumados com o aparecimento de "falsas raízes" na resolução de equações irracionais.

Mas, no exemplo que o professor Sidney apresentou, o fato de aparecer uma "raiz falsa" era estranho, pois a resolução da equação exigia apenas que seus membros fossem elevados ao cubo e sabemos que, em  IR,

x3 = y3       x = y.

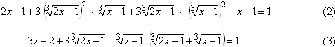
Vejamos como o professor Sidney resolveu a equação:

Elevando ao cubo, obtemos

o termo entre parênteses vale 1 (é a própria equação (1)!)

E, portanto,   x = 0   ou   a: = 1.

Verifica-se, por substituição em (1), que 1 é .solução, mas 0 não é.

Onde e por que apareceu esta falsa raiz?

Sugiro que o leitor tente responder a esta pergunta antes de prosseguir.

Observe que x = 0 não é solução das equações (1), (2) e (3), mas é solução das equações a partir de (4). Na verdade, (1), (2) e (3) são equivalentes entre si (possuem o mesmo conjunto solução), e as equações de (4) a (9) também são equivalentes entre si, mas (3) e (4) não são equivalentes. Foi nesta passagem que fizemos algo "ilícito".

O que fizemos para passar de (3) a (4)? Ora, usamos novamente a equação (1) substituindo por 1, e este procedimento não gera uma equação equivalente à anterior. Tendo duas equações equivalentes, (1) e (3), se substituirmos uma na outra, obtemos uma nova equação que é conseqüência das anteriores, mas não é, necessariamente, equivalente a elas. Assim (3) (4), mas não vale a recíproca.

Vejamos um exemplo onde este fato é mais evidente:

x = 2    (o conjunto solução é {2}),

2 = x    ( equivalente a de cima).

Substituindo uma na outra, obtemos

x = x,  cujo conjunto solução é IR!

Assim, o aparecimento de uma raiz falsa não está ligado ao fato de a equação ser irracional nem as potências que tomamos, e sim. ao procedimento da resolução.

Uma palavra sobre a abordagem deste tema em sala de aula: o "truque" utilizado na passagem de (3) para (4) é útil, pois "limpou" a equação, mas não é uma equivalência - não podemos perder de vista a equação original. Situações como esta são comuns, por exemplo, na trigonometria quando usamos, numa equação, a identidade sen2 x + cos2 x = 1.

Vamos ilustrar o aparecimento de falsas raízes através de mais dois exemplos:

x = 1 x        (e, portanto, x 1/2).

Se elevarmos ambos os membros ao cubo, teremos:

x = l x       x3 = (l x)3        x3 = 1 3x + 3x2 - x3 

(substituindo  x   por   1 x)

x3 = 1 3(1 x) + 3x2 x3      2x3 3x2 3x + 2 = 0      x = 1/2;     x = 1;     x = 2.

Outro exemplo:

x = 1.

x = 1        (x l)2 = 0      x2 2x + 1 = 0

(substituindo  x   por 1)

x2 2 .1 + 1 = 0       x2 = 1       x = l    ou    x = l,

 

Claudio Possani é professor do IME-USP, onde fez a graduação, o Mestrado e o Doutorado. Gosta de resolver problemas de Matemática, sejam os de sua área de pesquisa (Geometria) ou problemas elementares. Acredita que a Matemática é "lúdica e gostosa". Sua preocupação com o ensino de Matemática o levou a desenvolver um trabalho junto a alunos do 2° grau no Colégio Leonardo da Vinci em Jundiaí, SP. Suas atividades de lazer incluem: ficção científica e literatura policial, histórias em quadrinhos, rock (dos antigos!), cooper . . .