Correspondência:
RPM - Olimpíadas
Caixa Postai 20570
01498 São Paulo, SP

 

     12 Olimpíada Brasileira de Matemática

A 12Olimpíada de Matemática foi realizada em 6/10/90 em diversas cidades do Brasil. Foram premiados os seguintes estudantes:

1 prêmio: Eduardo Laber, RJ e Elcio Decache, RJ; 2 prêmio: Alessandro Peixoto, RJ e Fernando Migliorancia, RJ; 3 prêmio: Carlos Eduardo Mack, RJ, Eric Guedes, RJ e Erik Camara e Silva, RJ; 4 prêmio: Alessandro Luzes, RJ, Alessandro Tavares, SP, Antonio C. Muniz Neto, CE, Emerson Ferreira Leite, SP, Luciano Irineu de Castro Filho, CE e Rogério Kiyoshi Molato, SP.

 

         Problemas propostos na 12 OBM

1.   Dado um poliedro convexo com um número ímpar de faces, mostre que existe pelo menos uma face com um número par de lados.

2.    Mostre que a equação  x3 + 1990y3 = z4   tem infinitas soluções inteiras com
x > 0,  y > 0  e  z > 0.

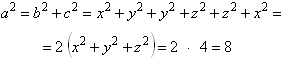
3.    Considere um tetraedro inscrito em uma esfera de raio   1,   onde cada face é um triângulo de lados a, b e c.   Calcule a2 + b2 + c2.

4.    É dado um quadrilátero convexo  ABCD.   Sejam   E, F, G  e   H   os pontos médios dos lados AB, BC, CD e DA, respectivamente. Determine aposição de um ponto   P   de forma que os quadriláteros   PHAE,  PEBF,  PFCG   e   PGDH   tenham a mesma área.

5. Seja


Prove que

para todo   onde esta expressão estiver bem definida.

 

     Soluções doa problemas da 12 OBM

1.   Numeremos as faces: 1,2, ..., F,  onde   é ímpar. Seja  ni  o número de lados da face  i. Como cada aresta do poliedro é lado de exatamente duas faces, temos: 2A = n1 + n2 + ... +nF.

Se todas as faces têm número ímpar de lados, a igualdade acima é um absurdo, porque o lado direito será soma de um número ímpar de números ímpares, que não pode ser par.   Assim, existe pelo menos uma face com número par de lados.

2.   Se   (x0,  y0,  z0)   é solução inteira positiva de   x3 + 1990y3  =  z4,   então (k4 x0 , k4 y0 , k4z0)  também é solução positiva para qualquer inteiro positivo, pois

Logo, se a equação possui uma solução inteira positiva, então ela possui infinitas soluções inteiras positivas. Falta apenas mostrar a existência de uma solução inteira positiva. Tentemos achar uma solução com  x = y = z.

Para  x = y = z,  a equação fica  x3 + 1990y3  =  z4   e  x = 1991 é solução. Portanto (k4 1991, k4 1991, k3 1991) é solução para qualquer k inteiro positivo .

3.  Imaginemos o tetraedro inscrito em um paralelepípedo retângulo de dimensões  x, y e z, como na figura ao lado. A esfera circunscrita ao tetraedro é também circunscrita ao paralelepípedo. Então,

 

Daí,

4. Sejam I e J os pontos médios das diagonais AC e BD, como na figura. Tracemos por I e J paralelas a BD e AC, respectivamente, para obter P. Provaremos que esse é o ponto procurado, ou seja, provaremos que área de PHAE  é igual a  1/4  da área de  ABCD  que chamaremos  S.

(PHAE) = (IHAE)   porque    HE   é paralelo a   PI   e desta forma os triângulos   PHE  IHE  são equivalentes.


 


5. f ( f (0)) f (0)  pois, em caso contrário, teríamos


 

Esta igualdade implica que   f   seja constante e diferente de zero, o que contradiz a condição   fn(0) = 0.

Temos, assim, fn(x) = x para três valores distintos de x : 0,  f (0) e  f(f (0)), pois

Mas esta á uma equação do 2 grau,  que só pode  ter  três soluções se   c' = 0,  d' a' = 0 e b' = 0.   Assim,

 

      31 Olimpíada Internacional de Matemática

As questões desta Olimpíada foram publicadas na RPM 17, p. 61. A RPM recebeu as soluções dos problemas em 15 páginas manuscritas. Os leitores que desejarem uma cópia destas soluções, poderão recebê-la mediante solicitação e o envio de um cheque, em nome de "Comitê Editorial da RPM", no valor de Cr$300,00, para cobrir as despesas de xerox e correio.

 

      Olimpíada Pessoense de Matemática

Esta seção recebeu uma carta do professor Carlos Alberto Bandeira Braga comunicando que, em dezembro de 90, foi realizada, em João Pessoa, PB, a 1 Olimpíada Pessoense de Matemática e que este evento repetir-se-á anualmente, devido ao grande sucesso alcançado entre alunos e professores do 2 grau.