Flávio Wagner Rodrigues
IME-USP

Soluções e Sugestões:
RPM Problemas
Caixa
Postal 20670
01498 São Paulo, SP

 

     Problemas

82.       Fatorar 51985 1 num produto de três inteiros maiores do que 5100.   
(Proposto, mas não usado, numa, olimpíada internacional.)

83.       Num triângulo  ABC,  a bissetriz de     e a mediana relativa a BC cortam este lado em pontos distintos O e M,  respectivamente. 0 círculo circunscrito ao triângulo  AOM  encontra os lados   AB e AC  em   E e F,  respectivamente. Prove que BE = CF.   
(Enviado por Nelson Tunala.)

84.       Numa progressão aritmética, não constante, de termos inteiros positivos, o 1 termo, o k -ésimo e o h-ésimo   (1 < j < k) formam, nesta ordem, uma progressão geométrica. Determine a razão desta P.G.

85.       As casas lotéricas costumam oferecer a seus clientes a oportunidade de participarem dos chamados jogos com sena fechada, que consistem na escolha de um certo número Considere um apostador que participa de um jogo desse tipo realizado com 15 dezenas.   Se as seis dezenas sorteadas estiverem entre essas 15, além de acertar a sena, quantas quadras e quantas quinas esse apostador irá acertar?

 

     . . .e probleminhas

1.  Uma linha de ônibus não permite que os passageiros levem objetos maiores do que 4 metros.  Um homem precisa viajar com sua vara de pesca de 5 metros. 0 que ele deve fazer para embarcar no ônibus com ela?

2.    Um viajante inteligente é assaltado por bandidos que lhe dizem: Diga uma frase.   Se for verdadeira, você será enforcado, mas se for mentira você será fuzilado. 0 que o viajante disse para salvar a sua vida?

3.          Os sete símbolos

parecem uma espécie de escrita hieroglífica. Mas cada símbolo tem um significado. Descubra qual deve ser o próximo símbolo da série.

(Tirados de fascículos da revista Todos os Jogos (seção Quebra. Cuca), publicados em 1978 pela Editora Abril.) 

(Ver respostas na seção "Coluna do Botelho")
 

     Soluções dos problemas propostos na RPM 16, 1.° semestre,1990

74. Neste ano de 1990 a Prefeitura do Município de São Paulo determinou que o imposto predial deveria ser corrigido em 70% da variação do BTN entre o mês do lançamento (janeiro) e o mês do vencimento. Um contribuinte, cujo imposto vencia em março, fez os seguintes cálculos: 1) dividiu o BTN de março pelo BTN de janeiro, obtendo um número; 2) multiplicou esse número pelo valor do imposto; 3) calculou 70% do resultado obtido. Explique por que o caixa do Banco se recusou a receber e como seria o cálculo correto do imposto desse contribuinte.

Solução:

1) Porque o caixa do Banco se recusou a receber:

Ao concluir a operação 2, o contribuinte obteve o valor que seria devido em março, caso a correção fosse feita pela variação integral do BTN. Esse valor é a soma do imposto devido em janeiro com a correção causada pela variação do BTN. Ao calcular 70% desse número, o contribuinte estaria obtendo um desconto não apenas sobre o acréscimo, mas também sobre o principal, o que poderia, mesmo com inflação elevada, conduzir a um imposto devido em março menor do que o de janeiro. Um exemplo numérico simples pode ilustrar bem o engano do contribuinte. Se o imposto devido em janeiro fosse de 100 cruzeiros e a variação do BTN entre janeiro e março fosse de 40%, as operações realizadas pelo contribuinte dariam, para o imposto devido em março, o valor de 98 cruzeiros , o que é claramente um absurdo.

 

2) Como seria o cálculo correto do imposto.

Uma vez concluída a operação 2), subtrai-se do resultado o valor do imposto devido em janeiro, obtendo-se, assim, o acréscimo que seria devido caso a correção fosse feita pela variação integral do BTN. Calcula-se 70% desse acréscimo e ao resultado soma-se o imposto devido em janeiro, para obter o valor correto do imposto a ser pago em março.

Uma maneira equivalente seria acrescentar ao resultado da operação 3 aquilo que foi indevidamente subtraído, isto é, 30% do imposto devido em janeiro. No nosso exemplo numérico, os dois processos conduziriam ao valor de 128 cruzeiros para o imposto devido em março.

75. Uma urna contém n bolas numeradas de 1 a n. Bolas são retiradas dessa urna sucessivamente, sem reposição, até que pela primeira vez apareça um número maior que todos os anteriores. Caso isso não aconteça, o processo prossegue até que se esgotem as bolas da urna. Para k = 2, ..., n, determine a probabilidade de que o processo pare na  k-ésima retirada.

Solução:

Se imaginarmos que todas as bolas serão retiradas da urna, existirão ao todo n! configurações numéricas possíveis para esse experimento. O nosso problema é contar em quantas dessas configurações teremos, na k-ésima retirada (2 k < n), pela primeira vez, uma bola cujo número seja maior do que o de todas as anteriores.

Em primeiro lugar, vamos observar que o evento no qual estamos interessados não
escolhas para esses números. Uma vez fixados esses k números, para que o evento ocorra, duas condições precisam ser satisfeitas:

1)     A bola com o maior número (entre os  k  escolhidos) deve sair na   k-ésima  retirada.

2)     A bola com o 2 maior número deve sair na primeira retirada.

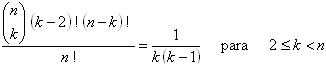
Observe que a primeira condição garante que o processo pára na k-ésima retirada, enquanto que a segunda garante que ele não pára antes da k-ésima retirada. As outras k - 2 bolas podem ocupar qualquer posição, o que nos dá um total de (k 2)! configurações possíveis. De maneira análoga, as n k bolas que sairão após a k-ésima retirada poderão aparecer em qualquer ordem, o que nos dá (n k)! possibilidades.

Segue-se que o número total de configurações nas quais, pela primeira vez, na k-ésima
e, portanto, a probabilidade desse evento é

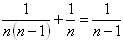
O caso   k = n   tem que ser analisado em separado, pois o processo para no instante  n   não apenas quando as condições  1 e 2  estão satisfeitas para  k = n (a probabilidade de que isso ocorra é 1 / n(n 1) ), mas também quando elas não são satisfeitas em nenhum instante. Esta segunda hipótese ocorre se, e somente se, a bola com o número n sair na primeira retirada. (A probabilidade disso ocorrer é, obviamente,  l / n. ) Para k = n,  a probabilidade desejada vale

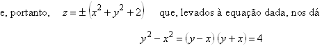
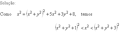
76. Resolva em inteiros




77. Pelo ponto médio M do lado BC de um quadrilátero ABCD, traçar a reta que divide esse quadrilátero em duas partes de áreas iguais.

Solução:

Traçar AE || BC. Pelo ponto médio F de AE, traçar FG || MD. (Quando BC || AD, F e G coincidem.) Afirmamos que MG é a solução. De fato, pela construção,

área MBADF = área MFDC .

Por meio de   MG,   estamos tirando da área direita o triângulo   MFH   e acrescentando o triângulo HGD para obter MGDC.  Porém, área MFH = área.HGD,  pois FG || MD e MHD é comum aos triângulos MGD e MFD.  Logo, área MGDC = área MFDC.    Do mesmo modo, área.MBAG = área MBADF . (Solução enviada por Rizio Sant 'Ana.)

 

Relação dos leitores que enviaram soluções dos problemas 74 a 77 da
RPM
16

Sebastião A. da Silveira (MG) - 74-77

Alceu de Amorim Ramos (SP) - 74

Rizio Sant'Ana (MG) - 77

Roberto F. Silvestre (MG) - 77

Roberto Torezan (SP) - 74

Cid Carlos Leite da Silva (SP)    74

Nelson Tunala (RJ) - 74-75-77

Sun Hsien Ming (SP) - 74