Maria Alice Gravina
IM - UFRS

Na minha experiência como professora de alunos calouros do curso de Matemática da UFRS, constatei o quanto os alunos vêm presos ao uso de tabelas na construção de gráficos de funções. E isto faz com que percam a idéia mais geral sobre o comportamento da função. Com a tabela o problema se reduz à marcação de alguns pontos do gráfico através de avaliação em valores de x (geralmente, x = 0, +1, 1, +2, 2), tornando-se um exercício meramente computacional, sem muito raciocínio.

O que pretendo neste artigo é dar uma idéia de como podemos fazer nossos alunos de segundo grau, através de raciocínios simples, obterem informações sobre gráficos, especialmente sobre forma das curvas; a tabela entra como um recurso, mas não como o único recurso.

Vamos aqui nos deter no estudo da função quadrática  f(x) = ax2 + bx + c. Começaremos com a função quadrática mais simples e, gradativamente, chegaremos à função quadrática geral.

Caso I:   f(x) = x2

Observamos que conforme o valor absoluto de x aumenta, x2 aumenta mais rapidamente e, portanto, a curva no gráfico deve ser io tipo "voltada para cima". Com esta informação e mais a tabela obtemos o gráfico:

 

Caso II:   f(x) = x2

O gráfico desta função são os pares de pontos   (x, x2)

Como já conhecemos o gráfico de y = x2, usaremos este como auxílio (curva pontilhada na fig. 2).

Localizamos o ponto (x,x2), marcamos no eixo y o valor x2 e localizamos o ponto (x,x2) . Vemos assim que o gráfico de f é o simétrico de y = x2 em relação ao eixo x.

 

Caso III:   f(x) = ax2

Nesta situação vamos considerar os casos:

1. a > 0

Aqui o gráfico de f tem a forma de   y = x2 , sendo exatamente igual quando   a = 1.   Usamos novamente o gráfico de y = x2 como auxílio (curva pontilhada nas figs. 3 e 4).

Localizamos o ponto  (x,x2),     x 0  e vamos localizar o ponto (x,ax2):

1.1   para a > 1, tomos ax2  > x2 e, portanto, o ponto (x,ax2) está acima de  (x,x2), na mesma reta vertical. Isto significa que o gráfico de f está acima de y = x2, exceto na origem (fig.3).

1.2   para   0  <  a  <   1,   temos   ax2  <  x2   e, portanto, o ponto (x,ax2)   está abaixo de   (x,x2),   na mesma reta vertical. Isto significa que o gráfico de / está abaixo do gráfico de y=x2, exceto na origem (fig. 4).

 

2. a < 0
Aqui o gráfico de
ftem a forma, de y = x2 (curva pontilhada nas figs. 5 e 6) e neste ponto o leitor deve se convencer que os gráficos que se obtêm são:

Caso IV:   f(x) =  x2 + h

0 gráfico de f tem a forma de y = x2 , sendo igual quando h = 0. amos usar este último gráfico como auxílio (curva pontilhada nas figs. 7 e 8). Localizamos o ponto (x, x2) e marcamos no eixo y o valor   x2 + h.

1.   Se h > 0, temos x2 + h > x2 , e portanto o ponto (x' = x2 + h) está acima de (x,x2), na mesma reta vertical. Vemos que o gráfico de f é obtido a partir de y = x2 deslocando-se este último de h unidades para cima (fig. 7).

2.    Se h < 0 , com raciocínio análogo ao anterior, vemos que o gráfico de f é obtido a partir de y=x2 deslocando-se este de h unidades para baixo (fig. 8).


Caso V:   f(x) = (x + k)2

Vamos usar novamente o gráfico de y = x2 como auxílio (curva pontilhada nas figs. 9 e 10). Começamos marcando os valores x e x + k no eixo x, o ponto (x + k, (x + k)2) no gráfico de y=x2, e queremos localizar   (x,(x + k)2).

1.       Se  k > 0,   temos   x < x + e, portanto, o ponto (x,(x + k)2) se encontra à esquerda de    (x + k,(x + k)2), na mesma reta horizontal. Vemos assim que o gráfico de f é obtido a partir de y = x2   deslocando-se este de   k   unidades para a esquerda (fig. 9).

2.      Se    k < 0,    com raciocínio análogo ao anterior, vemos que o gráfico de f é obtido a partir de   y = x2, deslocando-se este de k   unidades para a direita (fig. 10).

 

 Caso VI:   f{x) = a(x + k)2 + h

Através dos casos analisados anteriormente obtemos facilmente o gráfico de f e o leitor já deve perceber que estamos no caso geral de função quadrática. Resolvemos o problema fazendo, sucessivamente, os gráficos de y = (x + k)2,  y = a(x + k)2,  y = a(x + k)2 + h, e para efeitos de figura vamos tomar a > 0. mais particularmente, a > 1 , k < 0   e   h > 0   (figs. 11, 12 e 13):

O leitor deve se convencer que as demais possibilidades para o gráfico de f são:

1. a > 0

2. a < 0



 


 

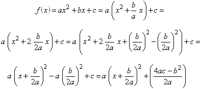
Se a função quadrática for dada na forma  f(x) = ax2 + bx + c, usamos o procedimento de completar quadrados:

sendo esta expressão final de f do tipo  a(x + k)2 + h,  com   k = b/2a  e  h = (4ac b2)/2a , e estamos aqui com as informações necessárias para traçar o gráfico de f. E ainda da expressão final de f obtemos facilmente:

1. as coordenadas do vértice V do gráfico:

Se   a > 0,  o menor valor de f é atingido em   x = b/2e este valor é  (4ac b2)/2a , donde

Se  a < 0,  obtém-se analogamente as mesmas coordenadas para V.

2. as raízes da equação   ax2 + bx + c = 0:

O gráfico encontra o eixo x se e somente se

Vemos que esta equação tem raízes quando b2 4ac 0 e, neste caso, as raízes são:

Neste final gostaria de salientar que as ideias usadas neste artigo podem  se aplicar a outras situações.    Uma vez conhecido o gráfico de    y = f(x), obtemos facilmente os gráficos das funções  y = f(x + k) , y = af(x)  e   y = f(x) + h.

Por exemplo, a partir de y = xa  obtemos o gráfico de  y = 2(x l)a 1,  fazendo sucessivamente os gráficos de y = (x 1)a , y = 2(x 1)a   e   y = 2(x l)a 1   (figs. 14, 15 e 16).

 

Ainda da minha experiência, quero registrar que este tipo de abordagem para gráficos sempre entusiasma os alunos, pois deste modo eles enxergam a forma da curva e sentem-se seguros ao fazerem os traçados.

Finalizo registrando os meus agradecimentos ao estudante Leonardo Gick, pelo seu trabalho na confecção dos gráficos apresentados no texto (original).

NR. O trinôinio do segundo grau foi diversas vezes abordado na RPM. Ver RPM 4, p. 32, RPM 6, p. 36, RPM 12, p. 33, RPM 13, p. 18 e p. 21, entre outros.

 

Maria Alice Gravina é mestre em  Matemática pelo IMPA e professora do Instituto de Matemática da  Universidade Federal do  RS. Seus interesses incluem o ensino da Matemática, já tendo ministrado cursos de extensão para professores de 1 e 2.° graus