Envie suas perguntas para
RPM - O leitor pergunta
Caixa Postal 20570
01498 São Paulo, SP
 

     O ábaco

Um colega de Belém, PA, nos pergunta: O que é um ábaco?

RPM: Ábacos são tidos como as formas mais elementares de máquinas calculadoras. São dispositivos simples inventados para registrar números e efetuar operações. Eram muito necessários, já na antiguidade, uma vez que os sistemas de numeração então vigentes não facilitavam as computações e não havia material conveniente para a escrita (o papiro,usado pelos egípcios, surgiu na Grécia só por volta do século VII a.C; o papel, muitos séculos mais tarde).

A palavra ábaco vem do grego abax que significa tábua coberta com pó ou areia, usada para desenhar figuras e fazer contas. Com o passar do tempo, as tábuas foram substituídas por placas de madeira ou metal, com linhas ou sulcos, onde deslizavam pequenas pedras ou contas (em latim, pedra é calculus, origem da palavra calcular).

O ábaco romano continha sulcos designando agrupamentos de 1 (I), 5 (V), 10 (X), 50 (L),

Os ábacos chinês e japonês possuem varetas verticais com contas, separadas por uma barra horizontal; cada conta acima da barra horizontal tem valor igual a 5 vezes o valor de cada conta correspondente, abaixo da barra horizontal; estes valores são, da direita para a esquerda:  1, 10, 100, 1000, etc.

Vale notar que os ábacos eram essencialmente uma representação posicionai dos números. As computações no ábaco tinham já as vantagens das computações do sistema de numeração indo-arábico; os povos, porém, usavam o sistema sem reconhecer o princípio posicional que praticavam.

Cabe uma observação a respeito do processo de implantação do sistema numérico indo-arábico. Este sistema possui procedimentos de computação, os algoritmos, descritos em termos dos algarismos dos números; os algoritmos, ao permitirem efetuar contas no papel, abriram os horizontes para a generalização.

Os que advogavam o uso do sistema indo-arábico eram chamados "algoristas". Os que preferiam ficar com o ábaco para a computação eram os "abacistas". Houve um período de aproximadamente 500 anos de acirrada rivalidade até que os "algoristas" lograssem a aceitação geral de suas técnicas de computação. Por volta de 1600, o uso do sistema indo-arábico estava generalizado e as técnicas aritméticas de operações estavam estabelecidas na forma de hoje.

O ábaco experimentou uma fase de esquecimento; mas, hoje em dia, com o advento da computação eletrônica, ressurge o interesse pelo ábaco, inclusive nas escolas.

Vale notar que o ábaco sempre teve praticantes na China e no Japão; para negociantes, funcionários em escritório, donas de casa, etc, experientes no uso do ábaco, este tem sido um auxiliar de contabilidade seguro, rápido, de manuseio fácil e econômico.

O ábaco chinês chama-se suan phan. Soroban é o ábaco japonês. A arte de praticar o soroban é o shuzan. Maiores informações podem ser obtidas na Associação Cultural de Shuzan do Brasil (Rua Vergueiro, 981; CEP 01504, São Paulo, SP), com Thereza T. Kato, viúva de Fukutaro Kato, autor do livro Soroban pelo Método Moderno.
 

O ábaco romano

incl
uindo a parte fracionária.

O ábaco chinês
E
stá indicando 2317.

O ábaco japonês
E
stá indicando 27 181.


 

     A fórmula de Cardano

Um colega de Alfenas, MG, nos pergunta sobre a fórmula de Cardano para resolver a equação do terceiro grau   x3 + px + q = 0.

RPM:   Façamos   x = u + v,  o que transforma a equação em

u3 + v3 + (3uv + p)(u + v) + q = 0

A equação será satisfeita se tivermos

Ora, conhecemos de  u3  e  v3  a sua soma  e o seu produto  p3/27.   Então,  u3    v3   são as raízes da equação do segundo grau

 

Portanto,

que é a fórmula de Cardano para resolver  x3 + px + q = 0.

Uma observação importante deve ser feita. Ao calcularmos as raízes cúbicas da fórmula encontramos (se p 0) três valores para cada raiz cúbica e, portanto, 9 valores para x. Isso se deve ao fato de uv = p/3 acarretar u3v3 = p/27 mas a recíproca não ser verdadeira, ou seja, criamos raízes estranhas nessa elevação ao cubo. Quando calculamos u e v, devemos ter o cuidado de considerar apenas as combinações de valores de  u e v  para as quais   uv = p/3.

Vejamos alguns exemplos de aplicação da fórmula de Cardano, lembrando que as raízes cúbicas da unidade são:

 

Analogamente,

Os possíveis valores de   u  e   v   são (cálculos feitos com uma calculadora)

Como devemos ter   uv = p/3 = 19/3,  as combinações lícitas são:

Por substituição vê-se que não há erros de arredondamento nesses valores,
b) x3 -
12x + 16 = 0.  Temos

Os valores possíveis de   u   e   são

Como devemos ter  uv = p/3 = 4,  as combinações lícitas são:

c) x3 2x + 4 = 0.  Temos

Os valores possíveis de   u   e   v  são

Como devemos ter  u v = p/3 = 2/3, as combinações lícitas são:

Por substituição vê-se que não há erros de arredondamento nesses valores.

Os exemplos mostram que a fórmula de Cardano é um processo muito trabalhoso para a resolução da equação do 3 grau. Esta fórmula já apareceu na RPM 7, p. 26 e é amplamente discutida no livro Meu Professor de Matemática e outras Histórias, de Elon Lages Lima, SBM, 1987.

 

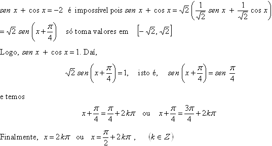
- Um colega de Recife, PE, nos pergunta:

Como resolver a equação  sen3x + cos3x = 1?

RPM: Um modo de resolver equações trigonométricas simétricas (isto é, que não se alteram quando substituímos sen x por cos x e vice-versa) é trabalhar com as incógnitas auxiliares   s=senx + cosx   p = senx . cosx.   É claro que

s2 = (senx + cosx)2 = sen2 x + cos2 x + 2senxcosx =  1 + 2p

A equação dada é:

Dai obtemos   s = 1   (dupla) ou   s = 2.


- Um colega de Niterói, RJ, nos propõe um problema apresentado em um concurso público: Em um certo sistema de numeração, 38 é representado por abe com a, b e c distintos. Sabendo que nesse sistema 192 é representado por um número de 4 algarismos, pede-se a representação de   192  nesse sistema.

RPM: No sistema de numeração de base m, os números que se escrevem com p algarismos são os compreendidos entre  mp-1   (inclusive) e  mp  (exclusive). Logo,

m2  38 < m3 192 < m4

Daí,   m = 4   ou   m = 5.

Se   m = 4,   temos   38 = (212)4,   o que é absurdo pois devemos ter   a c.  
Então,   m = 5    ;   38=(123)5   e   192 = (1232)5   isto é,    192   se escreve abcb.