Correspondência:
RPM     Olimpíadas
Caixa Postal 20570
01498 - São Paulo - SP

IIa Olimpíada Brasileira de Matemática

II.ª Olimpíada de Matemática foi realizada em 16/09/89.    Foram premiados os seguintes estudantes:

1.° lugar:

Carlos Gustavo Tamm de Araújo Moreira (Colégio Santo Inácio - Rio) (1)
Luciano Guimarães Monteiro de Castro (Colégio Impacto - Rio)
Marco António Meggiolaro (Colégio Princesa Isabel - Rio) (3)

2.° lugar:

André Antunes Nogueira da Silva (Colégio Santo Inácio - Rio)
Luciano Irineu de Castro Filho (Colégio Militar - Fortaleza) (2)
Maria do Socorro Alves Taumaturgo de Farias (Col. 7 de Setembro - Fortaleza) (2)

3.° lugar:

Alexandre Xavier Ywata de Carvalho (Instituto Social - Salvador) (1) Christiano Cario Boa Nova Ribeiro  (Colégio Impacto - Rio) Daniel Geiger Rocha Campos (Colégio Princesa Isabel - Rio) Elcio Deccache  (Colégio Impacto - Rio) (2)

Observações

(1)   Alunos que já haviam sido premiados na 10- OBM.

(2)      Alunos que em 1989 cursavam a 2 série do 2 grau.

(3)   Marco Antonio Meggiolaro é neto do Professor Thales Mello Carvalho, já falecido, que foi catedrático da Universidade do Brasil e cujos livros de Matemática foram usados pela maioria dos estudantes das décadas de 40 e 50.

(4)   Carlos Gustavo obteve em 1989 medalha de ouro na Olimpíada Ibero-americana e de bronze na Olimpíada Internacional (RPM 15, p.61). Em dezembro de 1989, concluiu o 2.° grau e, em janeiro de 1990, o mestrado em Matemática no Instituto de Matemática Pura e Aplicada (IMPA). O título de sua tese é Centralizadores de Difeomorfismos do Círculo. Terminou o mestrado antes de entrar para a Faculdade! Carlos Gustavo colaborou com dois artigos para a RPM 15 (p.35).

 

     Soluções dos problemas propostos na 11.ª OBM

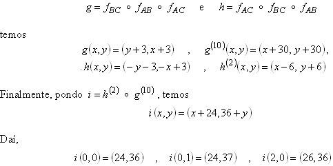
1. Os lados do triângulo T de vértices (0,0), (3,0) e (0,3) são espelhos. Prove que uma das imagens do triângulo T1de vértices (0,0), (0,1) e (2,0) é o triângulo de vértices  (24,36), (24,37)   e   (26,36).

Solução de André Antunes Nogueira da Silva:

Pondo   .4(0,0), 5(3,0)   e   C(0,3),   as funções de IR2   em IR2que transformam um ponto nas suas imagens nos espelhos   BC, AB  AC  são, respectivamente,

Definindo

 

2.  Seja  k   um inteiro positivo tal que  k(k+1)/3   é um quadrado perfeito. Prove que k/3   e  k + 1  são quadrados perfeitos.

Solução de Maria do Socorro Alves de Farias:

Se  q = k(k + l)/3  é um quadrado perfeito, temos as seguintes possibilidades:

 i) é múltiplo de 3.
Neste caso k = 3p com p inteiro e
q = k (k+ 1) /3 = p(3p + 1) é quadrado perfeito. Como p e 3p + l são primos entre si, devemos ter p e 3p + l quadrados perfeitos, ou seja,   k/3  e   k + 1   são quadrados perfeitos.

ii) k + 1  é múltiplo de 3.
Neste caso
k + l = 3p com p inteiro e q = k (k + 1) /3 = p(3p 1) é um quadrado perfeito. Como p e 3p 1 são primos entre si, devemos ter p e 3p 1 quadrados perfeitos, o que é impossível pois nenhum número da forma 3p 1 é quadrado perfeito.

iii) k + 2  é múltiplo de 3.
Neste caso k + 2 = 3p com p inteiro e q = k (k + l)/3 = (3p
2) (3p 1) /3 é um quadrado perfeito, o que é impossível pois   q   sequer é inteiro.

Dada a impossibilidade dos casos ii) e iii), ocorre certamente i) e, portanto, k/3 e k + 1   são quadrados perfeitos.

3.  Uma função f, definida no conjunto dos inteiros, é tal que   f(x) = x 10  se  x > 100 f(x) = f [f(x + 11)]   se   x 100.    Determine, justificando, o conjunto de valores da função  f.

Solução de Carlos Gustavo Tamm de Araújo Moreira:

a)  Provarei que   f(x) = 91   para todo   x 100.

i) Seja primeiramente  90  x 100.   Então  x + 11101.   Daí,

ii) Seja agora   x < 90.    Provarei por indução que, para qualquer   y   tal que   x  y   100, tem-se  f(y) = 91.

Para  x = 89   a propriedade é verdadeira pois f(89) = f[f(100)] = f(91) = 91   e já provamos que se   89 < y < 100  então  f(y) = 91.

Supondo que para qualquer   y   tal que  x y 100  tem-se   f{y) = 91,  temos  f(x 1) = f[f(x +10)] = f(91) = 91 pois x + 10 x   e   x + 10 < 100.   Logo, para qualquer   tal que  x 1 y 100  tem-se  f(y) = 91.

 

b)  Pela parte a)  f(x) = x 10,  se  x > 100  e f(x) = 91,  se  x 100.   Desta forma o
conjunto de valores de   f
  é  {x  Z\x 91} ■

4. Um jogo é disputado por dois adversários, A e B, cada um dos quais dispõe de dez fichas numeradas de 1 a 10. O tabuleiro do jogo consiste em duas filas de casas, numeradas de 1 a 1492, na primeira fila, e de 1 a 1989, na segunda fila. No n-ésimo lance (n = 1,2......... 10), A coloca sua ficha de número n em qualquer casa vazia e B então coloca sua ficha de número n em qualquer casa vazia da fila que não contém a ficha de número n de A. B ganha o jogo se, após o décimo lance, ambas as filas exibirem os números das fichas na mesma ordem relativa. Caso contrário, A ganha o jogo.

a)     Qual dos jogadores tem uma estratégia vencedora? Justifique a resposta.

b)   Suponha agora que cada jogador dispõe de k fichas numeradas de 1 a k.   Quais dos jogadores tem uma estratégia vencedora. Justifique a resposta.

c)      Suponha agora que, além disso, as filas são o conjunto Q dos números racionais e o conjunto Z dos números inteiros. Qual dos jogadores tem uma estratégia vencedora?
Justifique a resposta.

Solução de Marco Antonio Meggiolaro:

Comecemos pelo caso fácil que é, supreendentemente, o caso c).

c)   Se   k = 1   ou   k = 2,   B   tem estratégia vencedora.   Basta  B  responder arbitrariamente à primeira jogada de A e, no caso   k = 2   se A colocar sua segunda ficha à direita (esquerda) de uma ficha número 1, basta B colocar sua segunda ficha à direita (esquerda) de uma ficha número 1.
Se k > 2, A tem estratégia vencedora. Basta A colocar suas fichas 1 e 2 em inteiros consecutivos. B terá que colocar suas fichas 1 e 2 em racionais. Se A colocar sua ficha 3 em um racional situado entre esses dois racionais, B não terá como colocar sua ficha 3 entre as fichas 1 e 2 que estão em inteiros consecutivos.

a e b) Se   k 11,   A tem estratégia vencedora.

A coloca sua ficha número 1 no meio da fila maior (casa 995). B terá que colocar sua ficha em alguma casa da fila menor. Colocada a ficha de B, a fila menor ficará dividida por essa ficha em dois pedaços (esquerdo-direito), o menor dos quais terá, no máximo, 745 casas.

A coloca então sua ficha 2 no meio do pedaço (esquerdo-direito) da fila maior que corresponde ao pedaço com no máximo 745 casas da fila menor. B terá que colocar sua ficha número 2 em alguma das já citadas 745 casas da fila menor. Colocada essa ficha por B, essas 745 casas ficarão divididas em dois pedaços, o menor dos quais terá no máximo 372 casas.

Prosseguindo até a décima jogada, os comprimentos serão 745 - 372 - 185 - 92 - 45 -22 - 10 - 4 - 1 - 0 na fila menor e 994 - 496 - 247 - 123 - 61 - 30 - 14 - 6 - 2 - 1 . Na 11 jogada, A coloca sua ficha 11 na casa que sobrou na fila maior e B não tem casa para colocar sua ficha 11.

Se   k 10,   B   tem estratégia vencedora. Colocada a ficha 1 de A, B coloca sua ficha 1 no meio da fila. Colocada a ficha 2 de A, B coloca sua ficha 2 do mesmo lado (em  relação  à  ficha 1) da ficha 2 de A e no meio desse pedaço da fila e assim sucessivamente.
As contas já feitas mostram que até o 10.° lance isso é sempre possível.

5) Um tetraedro é tal que o centro da esfera a ele circunscrita está dentro do tetraedro. Prove que pelo menos uma de suas arestas tem comprimento maior ou igual ao comprimento da aresta do tetraedro regular que se inscreve na mesma esfera.

 

Solução baseada numa idéia de Fernando Lukas Miglorância:

A - 3 fatos importantes:

Consideremos os tetraedros AB'C'D'', regular e ABCD qualquer, com um vértice A comum, inscritos na mesma esfera de centro O. Seja G o centro do círculo circunscrito a B'C'D'. Para qualquer ponto P deste círculo, AP é igual a AB', aresta do tetraedro regular. Para qualquer ponto P da menor calota determinada por este círculo teremos e, portanto,  AP > AB'.
Concluímos então que B, C e D estão "acima"do plano (B'C'
D') que chamaremos .

1) O plano (BCD)  não corta  AA'   abaixo de G.

De fato, como   B, C,  e  D estão acima de , uma projeção num plano perpendicular a  MN   mostrará o ponto exterior a  ABCD.

2) O plano (BCD)   não corta  AA'   acima de  O.

De fato, se MN   é interseção do plano mediador de   AA'   com o plano (BCD), a projeção num plano perpendicular a  MN   mostrará o ponto  exterior a  ABCD.

Concluímos então que o plano (BCD) corta AA' no inferior do segmento   OG.

Seja K o centro do círculo (BCD).

 3) K não é exterior ao BCD.

De fato, se K for exterior ao triângulo BCD e se BC, por exemplo, for o lado do triângulo mais próximo de K, uma projeção num plano perpendicular a BC mostrará o ponto  exterior ao tetraedro  ABCD.

B - Solução:

Sendo K interior ao BCD, um dos ângulos ,   será maior ou igual a 120°, portanto um dos lados do BCD será maior ou igual ao lado do triângulo equilátero inscrito no círculo,(BCD). Como o raio do círculo (BCD) é maior ou igual que o raio do círculo (B'C'D') (porque OK OG), concluímos que um dos lados do BCD é maior ou igual que o lado do triângulo equilátero B'CD', que é a aresta do tetraedro regular inscrito na esfera.

 

Tales, a Mula e o Método Dedutivo de Pensamento

Lúcia Helena Vilas Boas Mendes
Belo Horizonte, MG

Uma lenda clássica, sobre Tales, nos mostra que o raciocínio dedutivo não é uma exclusividade do ser humano. Conta-se que Tales, por muitos anos, mascateava sal, transportando sua carga no dorso das mulas. Como se sabe, as mulas são animais de muita inteligência. Tales, porém, possuía uma que pode ser classificada como um gênio. Certo dia, passava ele, a vau, um riacho e essa mula escorregou numa pedra e caiu nágua, submergindo toda a sua carga de sal. Na vau seguinte, ela se deitou e se deixou rolar na água, naturalmente por ter observado que sua primeira queda havia aliviado seu fardo. Tendo repetido esta astúcia até o sal se haver dissolvido completamente, ela parou de cair. Para puni-la, Tales substituiu sua carga de sal por uma de tecidos secos e de esponjas porosas. E a mula não mais caiu.

Vimos nesta estória todos os elementos necessários à fé na indução - inferência e generalização a partir da experiência repetida - como também na dedução. Ela também nos revela um Tales capaz de inventar um remédio para curar o mal de uma mula inconvenientemente inteligente.

Tales sempre empregava o método dedutivo em suas experiências práticas, as quais nos revelam sua grande facilidade em observar aquilo que é evidente mas que, em primeiro relance, não se apresenta como tal.

NR: Enfatizando o fato de tratar-se de uma lenda a estória contada acima, transcrevemos algumas linhas da p.34 do livro História da Matemática de Cari B.Boyer: "Tales e Pitágoras são figuras imprecisas historicamente (...). Não sobreviveu nenhuma obra de qualquer deles, nem se sabe se Tales ou Pitágoras jamais compuseram tal obra. O que fizeram deve ser reconstruído com base numa tradição, não muito digna de confiança, que se formou em torno desses dois matemáticos antigos".