Oscar Guelli
São Paulo, SP


Há aproximadamente 3 600 anos o faraó do Egito tinha um súdito cujo nome chegou até os nossos dias: Aahmesu.

Aahmesu, cujo nome significa "filho da lua", era uma pessoa muito simples, provavelmente um escriba.

Atualmente ele é conhecido com o nome de Ahmes, autor do Papiro Ahmes, mais famoso como Papiro de Rhind (v. Notas da Redação).

O Papiro de Rhind é um antigo manual de Matemática, contendo oitenta problemas de Álgebra, cada um deles com a sua solução.

Este problema está no Papiro de Rhind. Mudamos um pouco os números apenas para tornar mais clara a explicação. Naturalmente, isto não altera em nada a idéia central.

 

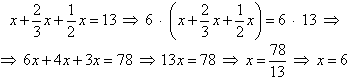
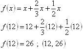
"Um montão, seus dois terços, sua metade, todos ao juntar-se fazem treze. Qual é a quantidade?"

O problema se reduz à equação:

Mas os antigos matemáticos egípcios não podiam resolver o problema desta forma.

As suas equações vinham expressas totalmente em palavras. A Álgebra puramente simbólica estava muito distante de ser inventada.

Encontravam a solução deste tipo de equação através de um método chamado regra da falsa posição:

— atribuíam um valor falso a montão, por exemplo,   12:

— uma regra de três simples indicava o valor verdadeiro de montão:

o valor falso   12  está para  26 assim como
o valor verdadeiro = montão está para   13.

Portanto:

_______________
(1)
Professores mais antigos lembram-se de encontrar este método em seus livros-texto, quando estudantes (Arihmeiica Progressiva, de António Trajano, por exemplo). Por que o ensino desse processo caiu no esquecimento justamente agora que os processos de aproximação ganham tanta importância? Sim, pois este é um exemplo do uso das aproximações, em que se parte de um valor falso e se procura corrigi-lo para melhorar o resultado, o que, neste caso, tem pleno êxito: chega-se à solução exata.

O moderno sistema de numeração decimal levaria ainda muito tempo para ser criado. Por isso os matemáticos da antiguidade efetuavam todos os seus cálculos em instrumentos auxiliares chamados tabuleiros de cálculos.

Mas por que uma regra de três simples dá o valor verdadeiro de x? Uma simples coincidência ou existe uma razão clara e precisa por trás dela? Observe com atenção: podemos interpretar

Traçamos em primeiro lugar o gráfico de f:

 

Substituímos o "valor falso" 12:

 

 

Se representamos o "valor verdadeiro" por x: por semelhança de triângulos podemos escrever:

ou seja:

12  está para  26  assim como x está para   13

Os antigos matemáticos egípcios e de outros povos também eram capazes de resolver sistemas de equações através deste método.

Você seria capaz de encontrar a solução deste problema-desafio da antiguidade, usando a regra da falsa posição?

"Doze anéis de prata pesam tanto quanto oito anéis de ouro. Se trocarmos um anel de prata por um anel de ouro a diferença será de 6 tzin. Digam-me, quanto pesa um anel de prata e um anel de ouro?"

 

Oscar Guelli é licenciado em Matemática e Estatística pela Universidade de São Paulo e professor dos colégios Dante Alighierí e Nossa Senhora das Graças. Atualmente está terminando de escrever uma coleção de 7 livros chamada "Contando a história da Matemática, da Editora Ática e dirigida a estudantes de Matemática do 1 e 2 graus.

 

NR: O Comité Editorial da RPM oferece alguns complementos:

Sobre o papiro de Rhind (Ahmes)

O papiro de Rhind foi encontrado nos meados do século passado, presumivelmente nas proximidades do templo de Ramsés II, na antiga cidade de Tebas, no Egito. Em 1858 foi comprado, no local, pelo antiquário escocês A.H.Rhind.

O papiro é um rolo com cerca de 30 cm de altura e 5 m de comprimento e encontra-se hoje, salvo alguns fragmentos, no Museu Britânico.

Os egípcios tinham um processo estranho para representar frações: as de numerador 1, como l/n, eram representadas por   n   ou   h,   mas todas as outras frações (salvo   2/3   e, algumas vezes,  n/n + 1)  eram escritas como soma de frações com numerador 1. Assim, por exemplo,

resolvido no papiro em três passagens:

1) Elimina-se a fração, colocando  7   no lugar de  x (7 é o valor falso).

Curioso é o fato que embora os chineses tivessem, já antes de Cristo, regras eficientes para representar frações e operá-las, os gregos adotaram a representação egípcia e esta permaneceu em uso na Europa por mais de 1 000 anos.

Ao leitor interessado recomenda-se a leitura de   [1], cap. 2.

 

Regra da dupla falsa posição

Usando a regra da falsa posição, pode-se resolver a equação ax = b. Se, porém, um problema exigir a solução da equação  ax + b = c,   a regra não funciona.

Supostamente, já antes de Cristo, os babilônios e os chineses usavam, neste caso, a regra da "dupla falsa posição" que ensina o seguinte:

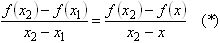
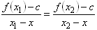
Para achar x tal que ax + b = c, atribua a x dois valores "falsos" x1 e x2 e calcule ax1+ b ax2+ b.

Se  d1  = ax1  + b - c d2 = ax2 + b c,  a proporção

dá o número procurado.

A regra, em linguagem de hoje, é ilustrada na figura ao lado. Se f(x) = ax + b,

Uma outra versão da mesma regra ensina o equivalente a

 

 

Tanto uma versão como a outra, quando aplicadas a equações do primeiro grau, dão o valor exato de x.  Para problemas não lineares a regra poderá dar soluções aproximadas.

Um problema não linear, aparentemente resolvido pela regra da dupla falsa posição, foi encontrado já entre os escritos dos antigos babilônios. Lá perguntava-se em quantos anos duplica um capital de   1 gur,  a juros de  20%   ao ano. Em notação de hoje:

após   3 anos  o capital ficará multiplicado por  (1, 2)3

após  4  anos o capital ficará multiplicado por  (1, 2)4

A resposta dada — "de  4 anos  deve-se subtrair  2,5 meses" — é a mesma que obteríamos se usássemos a fórmula  (*)  para a equação

Escritos árabes (séc. X) dizem explicitamente que a regra resolve problemas onde só aparecem adições, subtrações, multiplicações e divisões e que não se resolvem com ela problemas em que apareçam raízes quadradas ou cúbicas.

Já Cardano (séc. XVI) usa a regra da dupla falsa posição, repetidas vezes em um mesmo problema, a fim de obter melhores aproximações para a solução.

Hoje em dia, reconhecemos a regra da dupla falsa posição como um processo de aproximação, em que o arco de uma curva é substituído por um segmento de reta secante e exige, no caso não linear, cuidados especiais para que a solução obtida seja realmente uma "solução aproximada". É o que chamamos de processo da interpolação.

 

Bibliografia

[1] Boyer, C.B., História da Matemática. Editora Edgard Blucher.

[2] Chace, A.B. e outros, The Rhind Mathematkal Papyrus. Oberlim, Ohio, 1927-1929.

[3] Tropfke, J., Geschichte der elementarmathematik. Walter de Gruyter, 1980.