Comprimento da Circunferência no Ensino Elementar.

Gilda de La Rocque Palis
PUC-RIO


Há algum tempo atrás, nos perguntamos como se desenvolve o tópico "Comprimento da Circunferência" em livros didáticos para o ensino elementar. Esta pergunta nos foi sugerida, de certa forma, por um participante em um curso de Formação Continuada para professores de Matemática, ministrado pela equipe do Projeto Matemática, Comunidade e Universidade. Para estudar esta questão, fomos analisar alguns livros didáticos dos mais difundidos.

O que nos chamou logo a atenção, em alguns deles, foi a ausência de explicitações claras do que se está definindo, do que se está admitindo e do que se está demonstrando. Têm sido feitas constatações em diversos níveis (inclusive universitário) de que muitos alunos não dominam bem a leitura de textos matemáticos, pouco discriminando entre definições e demonstrações, afirmativas falsas ou verdadeiras, etc. Supor que os alunos possam, por si só, fazer estas distinções, sem um trabalho explícito nesta área, não nos parece que leve ao domínio da leitura matemática ou que estimule o gosto por ela.

Por outro lado, a dificuldade da passagem de processos finitos a infinitos, não está sendo considerada na organização de currículos., livros e atividades escolares, pela sua apresentação, às vezes, pouco cuidadosa e prematura. Este é um assunto tão delicado que exigiu séculos da humanidade para que atingisse a formalização que tem hoje.

 

 

     O limite de comprimentos é o comprimento do limite?

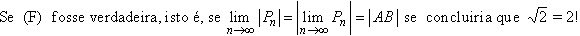
No curso mencionado anteriormente, discutimos o uso de desenhos em Matemática, na resolução de problemas; como os desenhos podem ajudar a conjecturar, a "ver", e a diferença entre "ver" e "demonstrar". Apresentamos os exemplos abaixo para ilustrar a possibilidade de se chegar a conclusões falsas pela intuição geométrica sem controle, através de desenhos. Nestes, estávamos mostrando a confusão a que nos pode levar a afirmativa  (F):

Se uma seqüência de curvas Cn   "se aproxima" de uma curva C (F)    então o limite das medidas dos comprimentos é a medida do comprimento   da curva limite.

A afirmativa (F) pode parecer evidente, mas, cuidado, nessa generalidade ela é falsa. A "proximidade" física de duas curvas (desenhos) não implica na proximidade das medidas de seus comprimentos.

Não pretendemos colocar formalmente o significado de "a seqüência Cn se aproxima de C". A "proximidade" de duas curvas é interpretada aqui intuitivamente. O leitor que não esteja acostumado com as definições de convergência de funções, ou de seus gráficos, ponto a ponto, pode pensar, embora de modo pouco preciso e sem que estejam claras todas as condições, que uma seqüência de curvas Cn se aproxima da curva C quando, para um observador o mais exigente que seja, a partir de um certo índice n, os desenhos das curvas Cn se confundem, a olho nu, com o da curva C. Nos exemplos que seguem, o leitor encontrará seqüências de curvas que se aproximam de uma curva nesse sentido. Em cada um deles, é feita menção ao que acontece com os comprimentos das curvas   Cn ,   em relação ao de  C.

 

 

 

     Exemplos

As aproximações poligonais Pn do segmento AB (Fig. 1) têm todas comprimento  2.

Observe que a seqüência de poligonais "se aproxima" do segmento AB; para n muito grande, a poligonal Pn é praticamente indistinguível do segmento AB.

 

As aproximações poligonais Pn da circunferência C de raio 1, construídas como sugere a figura 2, têm todas comprimento 8. "A seqüência Pn "se aproxima" de  C.   Segue-se dai que  = 4?

As aproximações Cn do segmento AB construídas como sugere a figura 3 têm todas comprimento . E Cn "se aproxima" de AB. Obteríamos, então pela aplicação.de  (F),   que  = 2!

 

Também podemos ter uma seqüência de poligonais Pn "se aproximando" de uma circunferência  C e de tal forma que  Um |Pn| = «s,  isto é, os

comprimentos de  Pn  ficam arbitrariamente grandes, quando  n cresce.

Seja C uma circunferência de raio 1. Para cada n inteiro, n = 2,3,..., consideremos a circunferência Cn concêntrica com C e de raio 1 - 1/n. Sejam Qi, i= 1, 2, ..., n2, ri1 pontos distribuídos sobre C. Os polígonos estrelados Pn, n = 2, 3, ..., construídos como na figura 4 formam uma seqüência de poligonais que se aproxima da curva C. Observe que cada um dos 2n2  lados da poligonal mede mais do que   1/n.

Os exemplos mostram que a afirmativa (F) é falsa. De fato, basta um só caso em que se verifique a hipótese e não se verifique a conclusão para demonstrar que uma proposição é falsa. A apresentação destes exemplos levou um participante do curso a perguntar:

"Então não é verdade que

(V)

O limite dos perímetros dos polígonos regulares de n lados inscritos (idem para circunscritos) em uma circunferência é o comprimento da circunferência.

um argumento  freqüentemente  utilizado  para se  demonstrar a fórmula C = 2 na 8 série?"

Esta pergunta nos levou à análise do tópico no ensino elementar. Apresentaremos, a seguir, alguns comentários sobre as definições de e comprimento da circunferência, como encontrados em alguns textos didáticos.

Antes disto, podemos observar que os exemplos, aqui apresentados, não mostram que a afirmativa  seja falsa (Por quê?). De fato ela é verdadeira e decorre da própria definição de comprimento da circunferência, como vere mos mais adiante.

Observamos que o cálculo de áreas de superfícies em R3, através de aproximações física por áreas de superfícies de dimensão 2, apresenta problemas semelhantes ao do cálculo de comprimentos de curvas através de aproximações por seqüências de curvas. Em 1890, H. A. Schwat mostrou, por um exemplo, que é possível aproximar a área lateral de um cilindro circular reto por superfície poliédrica inscrita de área arbitrariamente grande [4]. Mas isto já é um problema par os professores do 3 grau e foge ao escopo da RPM.

 

 

 

     Comentários sobre livros didáticos

Um desenvolvimento bem feito, mas a definição oculta

Em um curso de especialização para professores de Matemática do 2 grau fizemos o estudo dos tópicos: "A área do círculo" e "O perímetro da circunferência" por um texto muito bom para 2  grau (inclusive pelo excelente "exemplar de professor") [1]

O texto é bastante cuidadoso e mostra (no capítulo "A área do círculo"] com clareza, que as sequências an /r2 e An /r2, an e An são as áreas de polígonos inscritos e circunscritos no círculo de raio r e área A, têm um limite de convergência comum. E que, considerando a desigualdade a/r2 < A/r2 <An /r2, para todo n, é natural identificar o número A/r2 com este limite comum. Além disso, este número independe de r pois as razões a/r2 e An /r2  independem de  r.

Apesar do desenvolvimento cuidadoso a conclusão do texto:

"O número A/r2 foi, há muito tempo, designado com a letra (pi), isto é: A/r2 = , sendo  3,1415 < < 3,1416.   Portanto:  A  = 2"

não foi percebida pelos alunos do curso como apresentando uma definição do número pelo limite comum das duas seqüências, isto é, pela razão A/r2 e obtendo-se daí a fórmula A = r2.

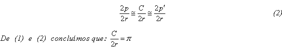
Um desenvolvimento análogo ao anterior é feito no tópico "O perímetro da circunferência" considerando-se as seqüências pn /2r e Pn /2r onde pn e Pn são os perímetros dos polígonos de n lados inscritos e circunscritos na circunferência de raio r. Aqui também as razões pn /2r e Pn /2r independem de r. E, repetindo o raciocínio empregado no cálculo da área do círculo, obtém-se   C/2r = .

Aqui há um ponto delicado pois não se pode utilizar a desigualdade pn < C < Pn, para todo n, para inferir a conclusão. Esta desigualdade não pode ser justificada a partir da aproximação física das curvas envolvidas. Quando escrevemos anteriormente an < A < An estávamos comparando medidas de áreas de regiões planas, umas contidas nas outras. Não podemos utilizar o mesmo argumento para escrever pn < C < Pn , sem o perigo de incorrer nos erros ilustrados no início.

Mas esta hipótese não é essencial. Necessitamos somente do fato de que as seqüências pn /2r e Pn /2r são respectivamente crescente e decrescente limitadas (pn /2r < Pm /2r para todos n e m) e convergem para um mesmo número real. Identificamos, então, C/2r com este limite comum e definimos pela razão   C/2r obtendo  C = 2 r.

Quando identificamos os limites das seqüências pn /2r e Pn /2r com C/2r estamos, na verdade, definindo o comprimento da circunferência como o limite dos comprimentos dos polígonos regulares de n lados inscritos (idem para circunscritos) na circunferência. Logo, a afirmativa  (V)  é verdadeira.

É importante, ainda, observar que, na exposição acima, temos duas definições do número , = A/r2 e . = C/2r. É preciso também mostrar que estes são iguais. Esta demonstração é feita no exemplar do professor de [1],   à página 44.

As observações acima nos mostram que colocar precisão em idéias intuitivas geométricas pode envolver o uso de propriedades fundamentais dos números reais. E sugerem a dificuldade de se introduzir a noção de comprimento de curva em geral sem as ferramentas do cálculo diferencial e integral.

Em outros textos não se vê o mesmo cuidado que neste.

 

 

 

     Conclusões apressadas

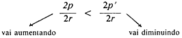
Em um livro didático, este de 8 série, no capítulo "Comprimento da circunferência", são utilizadas as notações 2p, 2p' para perímetros de polígonos inscritos e circunscritos numa circunferência de raio r.  Estas notações não evidenciam a dependência destes números com n, dificultando a compreen são da construção das sequências numéricas envolvidas. E, neste livro, pode mos ler:


 

"Notamos que

Tomando polígonos com número de lados muito grande, estas razões serão aproximadamente iguais a um número irracional 3,141592... denominado número   (leia: "pi").

 

para polígonos com número muito grande de lados. Quando o número de lados é grande, vimos que

e, então.

 

Logo:  C = 2 r"

Não se salienta no texto que as duas "seqüências" 2p/2r e 2p' /2r tên o mesmo limite e que este independe de r; não se define ir (existe mais d um número irracional cujo valor aproximado com 6 casas decimais é 3,141592 e é difícil tornar plausível a conclusão  C/2r = que se segue de (1) e (2)

No tópico "Área do círculo" encontra-se, nesse livro:

"Vamos indicar por r  o raio.



Considerando polígonos regulares inscritos, observamos que quando o número de lados grande:

1) o perímetro do polígono  (2p) é aproximadamente igual ao comprimento da circunferência (2r);

2) o apótema (a) é aproximadamente igual ao raio  (r).

Logo, a área do polígono é aproximadamente

que é a área do círculo.

Portanto, a área do círculo de raio  é

A  = x r2"

Novamente, a ausência de índices nas notações do perímetro do polígono de n lados, 2p, e seu apótema, o, não vincula estes números ao valor de n. Esta notação não permite a designação das seqüências numéricas envolvidas e dificulta a menção explícita do processo infinito ligado à noção de limite que é substituído por um uso, sem sentido, do sinal de igualdade.

A letra "A" tanto designa a área de todos os polígonos de n lados quanto a do círculo, sendo estas duas medidas iguais a

p x a = r2   (!)

Em um outro texto, no capítulo "Medida da circunferência", em que também os perímetros dos polígonos são todos designados por  2e  2p'   lê-se:

"Considerando a relação 2p < C < 2p'   e dividindo-a por 2r,   temos:

A constante C/2r está sempre entre as variáveis p/r e p'/r. Essa constante é um número irracional de valor 5,141592...,   que é indicado pela letra grega  (pi), e se escreve:

De fato, implicitamente, o texto acima está definindo como a constante C/2/r. No entanto, não apresenta argumentos para se aceitar que C/2r seja constante (independente de r), nem indica como p/r e p'/r variam (com n, são independentes de  r).

No mesmo texto, no tópico "Área do círculo", lê-se:

"Se considerarmos um polígono regular inscrito de n lados e de apótema a, fazendo n crescer indefinidamente, a superfície do polígono cresce também, mantendo-se, porém, menor que o círculo. Contudo, com o polígono regular crescendo, ele se aproxima da circunferência do mesmo modo que o apótema a se aproxima do raio  r.

Então, intuitivamente, podemos dizer que o perímetro 2p do polígono aproxima-se da medida 2 r da circunferência; daí, tomarmos para área do círculo:

Vemos que apresenta características semelhantes ao 2 texto analisado. Se escrevermos por A   a área do círculo, temos que

 

 

      A irracionalidade de 

O comentário sobre a irracionalidade de ir, ao nível da 8 série, parece bastante prematuro. Se olharmos para o desenrolar histórico do problema da natureza de ir, veremos que este levou muitos séculos para se tornar mais claro.

O conhecimento quantitativo de ir foi melhorando muito com os diversos resultados obtidos ao longo do tempo, principalmente com o advento do cálculo infinitesimal no sec. XVII. (RPM 6, p. 18). Mas a natureza de ir não se esclareceu ainda, não se sabia se era racional ou irracional. Vários trabalhos tentaram calcular ir com um número de casas decimais cada vez maior, com a esperança de descobrir uma periodicidade no seu desenvolvimento, ir seria então suscetível de ser racional.

De fato, o primeiro a designar a razão C/2r por ir foi W. Jones (1675-1749) sendo que este só passou a símbolo standard após sua utilização por L. Euler (1707-1783). E foi só em 1767 que J. H. Lambert (1728-1777) demonstrou que    não é racional.

 

 

     Algumas Questões

1. Que exemplos de processos infinitos ligados à noção de limite aparecem na Matemática do 1 e 2 graus?

Os exemplos mais familiares já aparecem no 1 grau, a saber, em representações decimais infinitas de números racionais e irracionais e problemas de cálculo de medidas de comprimento e área. Mais tarde, estão presentes ao se estudar o cálculo de volumes, no estudo de funções exponenciais, séries geométricas, noção de tangente a uma curva (velocidade instantânea de movimento), etc.

2. Como estão sendo abordados nos livros didáticos?

A análise do livro didático, visando sua melhor utilização é de grande importância, tendo em vista ser este um dos principais recursos auxiliares do professor na sua atividade. Não posso deixar de dizer que escrever um livro é um trabalho importante, difícil e que merece respeito. E "As virtudes que se exige de um ... manual, quantos dentre nós seriam capazes de redigilo", como dito em [2].

 

Bibliografia

[1]  Imenes, Trotta e Jakubovic, Matemática Aplicada, vol. 2, Editora Moderna.
[2]  Grille d'analyse des manuels scolaires de mathématiques, APMEP.
[3]
 Beckmann P., A History of r.   St. Martin's Press.

[4]  Atneosen G. H., The Schwarz Paradox: An Interes(ing problem for lhe First-Year Calculus Student em Calculus, readings from the Mathematics Teaches, NCTM.

 

 

Gilda de La Rocque Palis é professora do Departamento de Matemática da PUC-RJ, coordenadora do Grupo interdisciplinar de Ensino de Matemática da PUC-RJ, dentro das atividades do Projeto Matemática, Comunidade e Universidade. Esse projeto vem sendo financiado pelo SPEC/CAPES/MEC/PADCT, SESU/MEC e CNPq.