Como e quando os alunos utilizam o conceito de proporcionalidade

 

Lúcia A. de A. Tinoco
IM-UFRJ

Tratando-se, a proporcionalidade, de um dos conceitos matemáticos mais presentes na vida, todas as pessoas passam por experiências que possibilitam o contato com algumas noções desse conceito ou, pelo menos, a constatação da não aquisição de tais noções.

Do ponto de vista matemático, dois conjuntos X e Y de números reais positivos proporcionais são domínio e imagem de uma função real linear,

(1)                      f: X Y

x y = kx,  sendo  k uma constante real positiva.

Esta forma equivale à seguinte:

— existe uma constante  k R,   k > 0,   tal que, se  x X, y Y e y = f(x)então

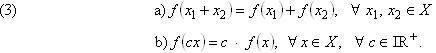
Esta função se caracteriza por duas propriedades (que são equivalentes, desde que se saiba que f é crescente (*)):

Essas relações ocorrem, freqüentemente, entre os números que exprimem as medidas de duas grandezas (conservadas as unidades em cada uma delas) e, nesses casos, essas grandezas são ditas proporcionais ou diretamente proporcionais.

É a partir da observação de medidas de grandezas desse tipo, que variam em situações do quotidiano dos alunos, que o grupo do Setor Matemática do Projeto Fundão (que ora trabalha no assunto) acredita que o conceito de proporcionalidade pode ser construído.

O trabalho dessa equipe envolve atividades com escala, receitas, merenda e outras coisas, baseadas na vida real, todas orientadas no sentido de levar o aluno a detectar os dados do problema e organizá-los, de preferência em tabelas, para melhor observar suas relações.

A experiência foi feita com turmas da 7 série do 1 grau (12 a 14 anos).

 

 

 

     Um primeiro exemplo de tais atividades

Entregar a cada aluno uma folha em branco a ser colocada num certo canto da carteira.

Entregar outra folha na qual estejam desenhadas quatro figuras: A, B, C e D (ver fig. abaixo). Destas, apenas duas, B e D, representam o tampo da carteira com a folha no canto, em escalas, por exemplo, de 1/5 e 1/10. Na primeira, A, a folha está com as dimensões proporcionais às da real, mas a carteira não; e na terceira, C, a carteira está reduzida corretamente, mas a folha não.

Discutir com os alunos as respostas a perguntas do tipo: qual(is) das figuras poderia(m) ser uma fotografia da carteira com a folha? Por quê?

A partir de respostas (em geral corretas), como "a segunda, porque, nessa outra, a folha está muito comprida" e outras, os alunos passam a medir todas as dimensões da figura real e dos desenhos. De início, essas medidas são anotadas sem qualquer ordem e, aos poucos, os alunos sentem a necessidade de alguma organização. Se for preciso, o professor sugere a utilização de tabelas. A partir daí, concluem que:

1) quando há proporcionalidade, toda vez que um número de uma situação fica multiplicado (ou dividido) por um número  c,  o correspondente da outra situação também fica multiplicado (ou dividido) por esse número c (ver (3)b);

2) a razão entre cada par de números correspondentes nas duas situações é sempre constante (ver (2)).

Essas conclusões surgirão com maior facilidade, dependendo da familiaridade do aluno com a situação apresentada, e da simplicidade dos fatores de proporcionalidade. Afirmamos, também, que a segunda conclusão é muito mais difícil que a primeira. O conceito de razão é construído muito lentamente. Voltaremos a esse aspecto adiante.

 

 

     Um outro exemplo de tais atividades

— Apresentar aos alunos o problema:

Para preparar a tinta, um pintor mistura, a cada 4 latas de tinta concentrada, 6 latas de água. Quantas latas de água são necessárias para dissolver 8 latas de tinta?

De início, os alunos são deixados livres para resolver e discutir o problema. Depois, para melhor explorar a situação, o professor faz outras perguntas sugeridas pela tabela abaixo:

(4)

— Pedir aos alunos que explicitem, a cada linha preenchida, as operações que fizeram, perguntando, por exemplo: como foram obtidos os números da 2 linha?

Observações quanto à reação dos alunos

O aluno que não tem nenhuma idéia de proporcionalidade poderá responder   10  na 2 linha da 2 coluna.

"Já que   4 + 2 = 6,   então faço   8 + 2 =  10."

Para esse aluno, as quantidades só se alteram por meio de adições ou subtrações. Ele não cogita de multiplicações.

Vimos que questionamentos do tipo

"por quanto foi multiplicada essa medida para dar aquela", ou "a razão entre esses números é igual à razão entre aqueles?",

na presença de dificuldades, são substituídos pelos alunos por outros do tipo

"quanto aumentou em cada figura?" ou

"se somei (ou diminuí) tanto aqui, devo somar (ou diminuir) o mesmo tanto lá".

No caso do exemplo, para permitir que o próprio aluno sinta seu erro, pode-se apresentar a ele outra tabela, como:

 

A resposta na 2 linha da 1 coluna, de acordo com o raciocínio aditivo exposto, seria 0. Bastaria portanto perguntar ao aluno se ele ficaria com água pura. Tal situação é chamada "situação de controle" (situação na qual certo tipo de erro conduz a um absurdo óbvio).

O raciocínio multiplicativo, necessário à construção da proporcionalidade, só é adquirido pelos alunos a partir de muitas experiências, as mais variadas possíveis, desde que iniciando por situações que envolvam fatores simples (o dobro, a metade, ...).

Por exemplo, na tabela (4) a 2? linha será obtida da 1 .a, por meio da multiplicação por  2,   bem como a 3 linha, por meio da divisão da 1? por 2.

Além dos fatores envolvidos, o tipo de números que aparecem nos dados ou nos resultados influi decisivamente no desempenho dos alunos (**). Ainda observando a tabela (4), a dificuldade na 4 linha surge, não porque envolva fatores complicados (ela pode ser obtida da 3 por redução à metade), mas porque a resposta é um número fracionário   (3/2  ou   1,5).

 

 

     A adição e a proporcionalidade

Colocamo-nos diante da seguinte questão: a utilização da adição na resolução de problemas de proporções é sempre nociva?

Retomemos o problema anterior e consideremos a seguinte pergunta:

— quantas latas de água serão necessárias para diluir 15 latas de tinta concentrada?

Encontraremos certamente,

  alunos que multiplicam os elementos da 4 linha por   15,  obtendo a resposta  (22,5);

  alunos que somam todos os números da 1 coluna, verificando que dá  15.
Então somam os elementos da segunda coluna, obtendo a resposta (correta).

Até que ponto estarão esses últimos alunos usando a proporcionalidade? Eles estão de fato utilizando a propriedade característica (3a) da função linear. Esta característica é vista, em geral, da seguinte forma:

Tendo em vista a referida equivalência de (3a) e (3b), a resolução dos problemas de proporcionalidade pode seguir um modelo aditivo ou multiplicativo.

Nas experiências feitas pelo grupo, observamos que o modelo aditivo é bastante intuitivo para os alunos, especialmente para os que ainda não atingiram muita familiaridade com as razões, ou com o trabalho com fatores que não sejam muito simples.

 

 

       Modelo aditivo x modelo multiplicativo

Embora reconhecendo que a decomposição dos dados em parcelas e a utilização de multiplicações por fatores bem simples é suficiente para os alunos resolverem a grande maioria dos problemas a eles apresentados, deparamo-nos com duas questões, a saber:

(a)       Os alunos, que resolvem os problemas de proporcionalidade pelo modelo aditivo (decomposição em parcelas), sabem por que podem fazer isso?

(b)  É aconselhável levar esses alunos a resolver tais problemas pelo reconhecimento da igualdade de duas razões?

A esse respeito, relataremos, a título de exemplo, entrevista feita com aluna da 7 série, ao final do estudo do tópico de proporções.

Ressaltamos a importância do método de entrevista para melhor conhecer o raciocínio do estudante, mas lembramos que o exemplo aqui apresentado não deve ser encarado como um modelo a ser repetido. Outros alunos darão outras respostas e outras respostas exigem novas perguntas.

E — Resolva esse problema:

Numa creche, 4 litros de leite dão para preparar 22 mamadeiras iguais. Quantas mamadeiras iguais a essas poderão ser preparadas com 10 litros de leite?

A dificuldade essencial, nesse caso, é reconhecer 10 como um múltiplo de 4. Pesquisas realizadas na Inglaterra (***) indicam que muitos alunos acreditam que não existe um número que multiplicado por  4  dê  10.

Tal dificuldade é contornada pelo uso do modelo aditivo.

A—   4—10

22 — 55 mamadeiras

E — Explique o que você fez.

A — Se   4   faz   22           4 + 4 22 + 22
 8   faz   44
 2   faz   11
10  faz   55

E — Por que você fez assim?

A — Porque é mais fácil.

E — Sempre é possível?

A — Depende do problema.

Para refletir sobre a questão (a) acima, o entrevistador apresenta à, aluna outro problema.

E — Resolva esse outro problema.

Priscila foi ao supermercado com a sua mãe. Como o estacionamento grátis do supermercado estava lotado, sua mãe precisou deixar o carro num outro estacionamento rotativo, que tinha a tabela de preços abaixo:

A — (Resolveu corretamente.)

E — Você não usou, aqui, o método do outro problema.

Lá, ele pôde ser usado por um motivo. Qual é?
A — Quando é de multiplicação ou divisão.

(Note-se que, com isto, ela estava se referindo ao modelo multiplicativo.)

(*) Hart, K. e equipe do CSMS. Children's Understanding of Mathematics, cap. 7. (**) A entrevista se realizou antes do cruzado novo.

E — (Lembrou o termo "proporcionais".)

Para serem proporcionais, o que tem que acontecer?

A — A multiplicação.

E — Como assim?

A — Se são proporcionais, ou você pode "multiplicar eles ou dividir eles". (Embora sem a nomenclatura adequada, a aluna reconhece os casos em que há proporcionalidade, ou não.) Para refletir sobre a questão (b), o entrevistador passou a explorar a igualdade das razões.

E — O que é constante nas duas situações do problema das mamadeiras?

A — As mamadeiras.

E — Mas de   22  passou para   55.

A — As mamadeiras são iguais.

E — Se elas são iguais, o que acontece?

A — Fica a mesma quantidade de leite.

E — Se eu perguntasse quanto de leite tem em cada mamadeira, como você acharia?

E — E na outra situação, quando havia   10 litros  para mamadeiras?

E — São iguais?

A — Sim.

E — Posso igualar as duas?

A — Sim.

A — Sim.

E — Sabe resolver agora?

A — Acho que sei, mais ou menos.

(Resolveu, com um pouco de dificuldade no produto em cruz e nas contas.)

E — Viu? Deu o mesmo resultado. Qual o jeito mais fácil?

A — Nesse problema, o meu (o da decomposição em parcelas).

A aluna, embora entendendo o raciocínio, não sentiu necessidade de utilizá-lo pois o seu método era suficiente até aqui. Tornou-se, então, necessária a apresentação de um problema que não fosse facilmente resolvido pelo método aditivo.

E — Resolva, então, esse problema.

Com 24 metros de brim, podem-se fazer 16 calças iguais. Quantas calças iguais a essas podem-se fazer com   15  metros do mesmo tecido?

A — 24 m — 15 m

         16     —  7

E — O que você fez?

A — 24  menos   16  dá   8.   Então diminuí   8   de   15.

E — Observe o outro problema.

A — (Concluiu que estava errada, mas tentou novamente a solução por subtração — ver comentários das pp. 10 e 11.)

         24 -   15  = 9.   Então   16 - 9 = 7

(Percebeu logo, e sozinha, que ainda estava errada).

E — Vamos tentar ver a razão constante. Na primeira situação ...

A — 24 metros

         16 calças

E — Se eu pedisse para você achar o pano gasto em cada calça, o que você faria?

A — 24/16.

E — Agora na segunda situação.

A — 15 m

          x calças

E — Qual é a conta?

A — Não dá para fazer; eu não sei quanto é esse x.

E — Faz de conta que você sabe.

A — Então é   15   dividido por esse  x.

E — Então é   15/x, certo?

A — Certo.

E —(Apontando para  24/16.) Isso não é o pano de cada calça?

A —É.

E — (Apontando o 15/x.) Isso aqui também é?

A—É.

E — As calças são iguais?

A — São.

E — Posso escrever um igual ao outro?

A — Pode.

E —24/16 = 15/x .  Agora você pode resolver.

E — Você não pode resolver esse problema pelo seu método?

A — Não sei.

E — Faça como você fez no primeiro.

A — Mas no primeiro, eu multipliquei, e agora, de  24  para   15  não posso

multiplicar.

E — Mas você não pode dividir?

A — Posso (mas não fez).

E — 24 metros  dão para fazer   16 calças. 12 metros  dão para quantas?
A — 8.
E — De    12   para    15    faltam   3.                                (Escrevendo 24 m — 16

3 metros  dão para quantas calças?                                                         12 m —  8 

                                                                                                                3 m — ...)

A — Já sei,   12 + 3 = 15,  então tem que ser 2,  porque 8 + 2 = 10 e eu já sei que a resposta é   10.

E — E se você ainda não soubesse?

A — Já sei. Você fez   12  dividido por  2, 6  e  6  dividido por  2, 3.  Então 8  dividido por  2, 4  e  4  dividido por  2  é  2. (Observe-se que ela não dividiu por quatro, e sim por  2  duas vezes.)

E — (Comenta que é sempre possível fazer qualquer problema de proporcionalidade por um método ou por outro, e apresenta o seguinte problema.)
 

Com 2 kg de cobre, faço 8 pulseiras. Quantas pulseiras farei com 7 kg de cobre?

A — 2 kg — 1 kg

        8       x                          2x = 56                         56 + 2 = 28

 

 

      Conclusões

   as dificuldades apontadas inicialmente são reais;

   não se deve impor a solução dos problemas de proporcionalidade direta pela igualdade de duas razões; a solução pela decomposição em parcelas é válida (como outras não analisadas aqui);

   o importante é que, ao utilizar qualquer método, o aluno saiba por que pode utilizá-lo;

   é importante que o aluno saiba que existe a solução mais econômica da proporção, para que possa optar por ela, se julgar necessário.

Este trabalho é resultado de pesquisa realizada pela equipe do Projeto Fundão, composta dos professores:

Célia Freitas N. Pires da Rosa sme,
Gilda Maria Quitete Portela sme,
Gizelda Alves Borba
sme,
Maria Palmira da Costa Silva
sme e see,

e do aluno: Ulisses Sebastião Gonçalves Martins, como ENTREVISTADOR.

A contribuição do trabalho realizado em sala de aula pela Professora Gilda, com a participação do Ulisses, como estagiário, foi fundamental para todas as fases deste artigo: explicitação do problema e encaminhamento dos passos a seguir.

 

 

Lúcia Arruda de Albuquerque Tinoco é Professora Adjunta do Departamento de Métodos Matemáticos do Instituto de Matemática da Universidade Federal do Rio de Janeiro e coordenadora do setor Matemática do Projeto Fundão. Este é um projeto da UFRJ, com apoio do SPEC/CAPES/MEC/PADCT, que realiza atividades de pesquisa e extensão em ensino de Ciências e Matemática.