Restos, congruência e divisibilidade  

Luiz Roberto Dante
Departamento de Matemática 
UNESP — Rio Claro, SP
 

Lendo o excelente artigo "Sobre critérios de divisibilidade" (RPM 6, p. 21), vimos a possibilidade de, talvez, complementá-lo, dando um outro enfoque ao assunto: parece-nos ser possível, já em nível de 5 ou 6 séries, usando uma linguagem bem simples, transmitir as idéias por trás da palavra "congruência" e usar estas idéias para calcular os restos da divisão de um inteiro por 2, 3, 4, 5, etc. Como caso particular (resto zero) podemos obter os critérios de divisibilidade. Professores que fizeram esta experiência têm relatado bons resultados.  
 

     Divisibilidade por 2  

Vamos considerar uma nova igualdade:  = 2 (*)

Dizemos que "a é igual a b módulo 2" e escrevemos a = 2b, se a e b deixarem o mesmo resto quando divididos por 2.

Assim, 0 = 22 = 24  = 26 = 2..., ou seja, todos os números pares são "iguais módulo 2" porque deixam resto O quando divididos por 2.

Também, l =23   = 25 = 2 ..., isto é, todos os números ímpares são "iguais módulo 2" porque todos deixam resto l quando divididos por 2.

Portanto, todos os números naturais são "iguais módulo 2" a 0 ou a l.

Geometricamente podemos enxergar esta "igualdade" dividindo uma circunferência em 2 partes iguais e "enrolando" os números naturais na circunferência, de modo que, sucessivamente, caiam nos pontos de divisão.  

___________
(*) Na verdade, vamos definir a "congruência módulo 2" (). O professor pode optar entre usar o símbolo e terminologia já consagrados ou introduzir um símbolo e terminologia novos talvez mais sugestivos para alunos do 1° grau, como os deste artigo.  

0,2 4, 6,...

0 = 22 = 24 = 2 ...
1 = 23 = 25 = 2...

(a relação =2 é uma relação de equivalência e os conjuntos {0, 2, 4, 6, ...} e { 1,3, 5, 7, ...} são as duas classes de equivalência que esta relação determina em IN. Dependerá de cada professor usar, ou não, esta linguagem mais formal. Ela não é necessária para transmitir as ideias.)

A "igualdade módulo 2" respeita a adição e a multiplicação no seguinte sentido (veja no final do artigo as definições gerais):

Em geral,


 

Sabemos que basta olhar para o último algarismo de um número natural para saber se ele é ou não divisível por 2. Por que isto é verdade? Pensemos em termos da nova igualdade:

358 = 3 x 102 + 5 x 10 + 8 

mas      10 =2 0 e  102 =2 0, 

então   358 =23 x 0 + 5 x 0 + 8=2 8, 

e como    8 = 2 0, 358 =2 0.
 

Outro exemplo:

1235 = l x 103 + 2 x 102 + 3 x 10 + 5 =2

0       +        0       +       0   +      5  = 25  

e como   5 = 21, 1235 = 2 l

Vê-se então que  

todo número natural é "igual módulo 2" ao seu algarismo das unidades.

Se este for igual a zero módulo 2, o número dado é divisível por 2 e se for igual a l módulo 2, o número dado deixa resto l na divisão por 2.
 

 

    Divisibilidade por 3  

Vamos considerar outra igualdade:   = 3 .

Dizemos que "a é igual a b módulo 3" e escrevemos a = 3b se a e b deixarem o mesmo resto quando divididos por 3. 

Com esta definição teremos:

0 =3  3 -3  6 =3 9 =3...
1 =3  4 =3  7 =3 10 =3 ...
2 =3  5 =3  8 =3 11 =3 ...

A igualdade módulo 3 faz com que todos os números naturais sejam "iguais módulo 3" a 0, l ou 2.  

Geometricamente esta igualdade se torna visível se dividirmos uma circunferência em 3 partes iguais e nela "enrolarmos" os naturais de modo que, sucessivamente, caiam nos pontos de divisão (figura acima).
A igualdade módulo 3 respeita a adição e a multiplicação (veja a parte final deste artigo). Ilustraremos este fato com um exemplo:  

(verifique)

Em geral,  

 

A igualdade módulo 3 nos permite calcular facilmente o resto da divisão de um número natural por 3.

Por exemplo: Qual é o resto da divisão de 2345 por 3?

2345 = 2 x 103 + 3 x 102 + 4 x 10 + 5 

mas   10 =3 l     e, portanto,   102 = 3 l = 3 l ; 103 =3 l;  

então

2345 =3 2 x l3 + 3 x l2 + 4 x l + 5 =3 
=3 2 + 3 + 4 + 5 =3 14 =3 2

e, em geral

todo número natural é "igual módulo 3" à soma de seus algarismos.  

Sendo 2345 =32 + 3 + 4 + 5, o resto da divisão de 2345 por 3 é igual ao resto da divisão da soma de seus algarismos por 3 e, por este caminho justifica-se o "critério de divisibilidade por 3": um número é divisível por 3 se a soma de seus algarismos for divisível por 3.

Assim 12345 =31 + 2 + 3 + 4 + 5 = 315 = 30 e, portanto, deixa resto 0 na divisão por 3, ou seja, é divisível por 3.

Também, problemas do seguinte tipo podem ser resolvidos facilmente:

Qual é o resto da divisão de 7 x 23 por 3?

Já vimos que 7 = 31 e 23 =32 e, portanto, 7 x 23 = 2 2, isto é, o resto da divisão de 7 x 23 por 3 é 2.

Qual é o resto da divisão de 7100 por 3?

 

7100 = 7 x 7 x 7 x ... x 7. 


Mas 7 = 31, e, portanto,

7100 =3 1 x l x l x ... x l =3 l,

ou seja, 7100, dividido por 3 deixa resto l. (Há um aspecto de quase magia neste tipo de cálculo que pode bem ser explorado.)  

 

 

     Divisibilidade por 4  

Dizemos que a =  4b se a e b deixarem o mesmo resto quando divididos por 4. Geometricamente:

0 = 4 4 = 4 8 = 4 ...
1 = 4
5 = 4 9 = 4...

2 = 4 6 = 4 10 = 4 ...

3 = 4 7 = 4 11 = 4 .

0, 4, 8, ...   

1, 5, 9, ...

3, 7, 11, ...

2, 6, 10, ...

Todo número natural é "igual módulo 4" a 0, 1,2 ou 3, e, como nos casos anteriores

Como se calcula o resto da divisão de um número por 4? Por exemplo, qual é o resto da divisão de 3528 por 4?

3528 = 3 x 103 + 5 x 102 + 2 x 10 + 8.

Mas

10 =  4 2 e 102 = 42 x 2 = 44 = 40; 103 = 4 0, etc.

Então

3528 = 4 3 x 0 + 5 x 0 + 28 = 4 0.

Assim, o resto da divisão de 3528 por 4 é o mesmo que o resto da divisão de 28 por 4 e, em geral,  

todo número natural é "igual módulo 4" ao número formado pelos seus dois últimos algarismos.

Daí, a regra usual: um número é divisível por 4 se o número formado pelos seus dois últimos algarismos for divisível por 4.

Analogamente, qual é o resto da divisão de 10570 por 4?  

10570 = l x 104 + 0 x 103 + 5 x 102 + 7 x 10 + 0 = 4 
  =4 0 + 0 + 0 + 70 = 4 70 = 4 2,

e, portanto, o resto da divisão de 10570 por 4 é 2.

Também aqui há lugar para "magias":

Calcule, sem efetuar o produto, o resto da divisão de 123456789 x 876543 por 4.

123456789 = 4 89 = 4 l   e   876543 = 4 43 = 4
123456789
x 876543 =4 l x 3 = 43.

O resto da divisão é 3.  

 

 

     Divisibilidade por 5  

Dizemos que a = 5b se a e b deixarem o mesmo resto quando divididos por 5.  

 

0 = 55 = 510 = 5 ...
1 = 56 = 511 = 5 ... 
2 = 57 = 512 = 5 ...
3 = 58 = 513 = 5 ...
4 = 59 = 514 = 5 ...

Continuam válidas as propriedades:

Passemos ao estudo da divisibilidade. Por exemplo, 328 é divisível por 5? 

Temos  

328 = 3 x 102 + 2 x 10 + 8.

Mas  

10 = 5 0

e, portanto

328 = 5 3 x 0 + 2 x 0 + 8 = 5 8 = 5 3.  

328 não é divisível por 5 pois deixa resto 3 na divisão por 5.
Em geral,

 

  todo número natural é "igual módulo 5" ao seu último algarismo.  


Daí o critério de divisibilidade: um número é divisível por 5 se o seu algarismo das unidades for 0 ou 5.

 

      Divisibilidade por 6

 Dizemos que a = 6b se a e b deixarem o mesmo resto quando divididos por 6. Geometricamente:  

06 6 = 6 12 = 6...
16 7 = 6 13 = 6...
2 =  6 8 = 6 14 = 6...  
3 =  6 9 = 6 15 = 6...
4 =  610 = 6 16 = 6...
5 =  611 = 6 17 = 6...

Nos casos estudados até agora, de divisibilidade por 2, 3, 4 e 5, obtivemos os restos das divisões com grande facilidade porque 10 =2 0; 10 =3 l; 100 = 4 0 e 10 = 5 0.

Já na "igualdade módulo 6", embora teoricamente tenhamos definições e propriedades análogas às anteriores, os cálculos a serem efetuados para obter o resto da divisão de um número por 6 ficam mais trabalhosos, pois

10 = 6 4,  102 = 6 4 x 4 = 6 4, 103 = 6 4 etc.

Assim, para provar que 14316 é divisível por 6 poderíamos escrever (como nos casos anteriores):

14316 = l x 104 + 4 x 103 + 3 x 102 + l x 10 + 6 

= 6 1 x 4 + 4 x 4 + 3 x 4 + 1 x 4 + 6 =

= 6 4(1 + 4 + 3 + l) + 6 = 6 36 + 6 = 6 42 = 60.

Mas fica bem mais fácil lembrar que um número é divisível por 6 se e somente se for divisível por 2 e 3. Como 14316 = 20 e 14316 = 30, 14316 é divisível por 2 e por 3 e, portanto, por 6.

Qual é o resto da divisão de 7328 por 6?

7328 = 7 x 103 + 3 x 102 + 2 x 10 + 8 =6

7 x 4 + 3 x 4 + 2 x 4 + 8 = 6 56 = 62

isto é, o resto da divisão de 7328 por 6 é igual a 2.

O processo acima não é muito prático, mas, aproveitando as idéias, podemos improvisar:

7328 = 6 7200 + 128 = 6 128 = 6 120 + 8 = 6 8= 6 2

isto é, eliminamos do número, o mais rapidamente possível, os múltiplos de 6. A rapidez do processo dependerá das escolhas destes múltiplos.  
 

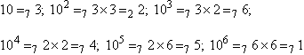
     Divisibilidade por 7  

Repetindo os procedimentos anteriores chegaremos a um critério de divisibilidade por 7, pouco prático, já que

e, para as demais potências de 10, os resultados se repetem:

3, 2, 6, 4, 5, 1, 3, 2, 6, 4, 5, 1, 3, ...

Para calcular o resto da divisão de 21861 por 7 podemos escrever:

e, portanto 21861 é divisível por 7.

Certamente é mais rápido dividir 21861 por 7 e ver qual é o resto, ou então, escrever:

Outros critérios

Os critérios de divisibilidade por 8, 9, 10, etc. podem ser estudados de modo análogo a estes.

Epílogo

Nas páginas anteriores estudamos casos particulares de congruência e suas propriedades. (Ver também a RPM 7, p. 25)

Em geral, seja m um número natural maior do que l, a e b inteiros:

Definição.

a é côngruo a b módulo w se e somente se m\a - b.

Notação: a = b mod m

Teorema l.

a b mod m se e somente se a e b deixarem o mesmo resto na divisão por m.

Teorema 2.

"Congruência módulo m" é uma relação de equivalência em Z, compatível com a adição e multiplicação em Z.

Teorema 3.

O conjunto quociente Z/ rnod m tem m elementos.

Estes elementos são representados por 0, l, 2, ..., m l.
 

Somente estes fatos foram usados no artigo. As demonstrações dos teoremas podem ser encontradas em "Iniciação às Estruturas Algébricas" de L. H. Jacy Monteiro — GEEM, em "Introdução à Álgebra" de Adilson Gonçalves — Projetos Euclides e em muitos outros livros.

O professor, sem caprichar muito, faz um desenho no quadro negro e diz: "Vamos provar que os triângulos ABC e A'B'C' são congruentes".
Aluno: "O sr. não vai conseguir provar isso porque eu estou vendo que eles não são."

O professor apaga o desenho e faz um novo, bem caprichado. E repete: "Vamos provar que os triângulos ABC e A'B'C" são congruentes".
Aluno: "Não precisa, professor, agora eu estou vendo que são."