Da Matemática, dos jovens e da pesquisa(*)  

Manfredo Perdigão do Carmo

IMPA/CNPq
Rio de Janeiro, RJ
 

    

(*) Discurso pronunciado no dia 28/11/86, na Academia Brasileira de Ciências, por ocasião da solenidade da entrega de prêmios aos participantes da 8ª Olimpíada Brasileira de Matemática.  

O Professor João Bosco Pitombeira convocou-me para saudar os jovens vencedores das Olimpíadas de Matemática e para lhes dizer algumas palavras sobre Matemática, em particular sobre a Matemática brasileira.

É com prazer que faço isto. Diz-se que a Matemática é uma velha ciência cultivada por jovens. Se bem que eu não concorde inteiramente com esta afirmação, devo reconhecer que as velhas sabedorias sempre contêm um elemento de verdade. De modo que, falando a jovens interessados em Matemática, arrisco-me a falar a futuros matemáticos brasileiros. E aí aparece uma questão sobre a qual gostaria de apresentar algumas idéias.  

O que é que distingue uma pessoa interessada em Matemática de um matemático propriamente dito?  

A questão é a seguinte: O que é que distingue uma pessoa interessada em Matemática de um matemático propriamente dito? Em ambos os casos, há a mesma paixão em resolver problemas, o mesmo gosto pelo desafio de coisas abstratas, o mesmo sentimento, às vezes difuso, de estar participando de uma tarefa milenar e permanente.

Creio que a distinção reside precisamente na natureza dos problemas tratados. Sem um treinamento efetivo que o leve à fronteira do que é conhecido, o interessado em Matemática ficará resolvendo problemas que são essencialmente conhecidos, ou, o que é muito freqüente, cujas soluções não contribuem para o desenvolvimento da Matemática. Os problemas de Matemática que contribuem para o seu desenvolvimento são aqueles que forçam a criação de novas técnicas, relacionam idéias aparentemente distintas e iluminam a nossa compreensão da Matemática como um todo. É a dedicação à solução de tais problemas (nem sempre bem sucedida) que caracteriza e distingue um matemático propriamente dito.

Há dois pontos que gostaria de deixar bem claro no que acabo de dizer.

Primeiro, que o que caracteriza um matemático é a sua vivência e fidelidade à idéia da pesquisa relevante em Matemática, e não o seu sucesso. Existem matemáticos mais ou menos bem sucedidos, mas pertencem todos à comunidade matemática internacional. Em verdade, a questão do sucesso individual de cada matemático é, na minha opinião, um problema que pertence mais à história que aos contemporâneos.  

Mesmo em plena atividade de pesquisa, o olhar e reolhar situações simples é um método poderoso para compreender o essencial de situações complicadas.  

Segundo, que não decorra de minhas palavras que só os grandes problemas da Matemática devam merecer a nossa atenção e que a solução de problemas elementares e conhecidos seja uma atividade a desprezar. Pelo contrário, tal atividade, convenientemente dosada, é parte essencial do treinamento de um matemático. Mesmo em plena atividade de pesquisa, o olhar e reolhar situações simples é um método poderoso para compreender o essencial de situações complicadas.

Estabelecida a caracterização de um matemático, põe-se a pergunta: E como pode um interessado em Matemática se transformar em um matemático? É preciso, como vimos, que tal interessado seja levado às fronteiras do conhecimento matemático para que o seu talento (se houver) não seja desperdiçado. A experiência mostrou que a melhor maneira de chegar a este objetivo é colocar o interessado em contacto com matemáticos ativos em pesquisas. Isto re­quer a existência de uma comunidade matemática ampla e razoavelmente bem estruturada.

Há poucas décadas atrás, a existência de uma tal comunidade no Brasil era quase impensável. Só para dar uma idéia das dificuldades existentes, permitam-me apresentar um relato pessoal.

Em 1957 compareci ao Primeiro Colóquio Brasileiro de Matemática, organizado pelo IMPA, que reuniu por três semanas cerca de 40 pessoas na cidade de Poços de Caldas, Minas Gerais. Uma minoria dos participantes havia tido alguma experiência em pesquisa matemática no exterior, e procurava transmitir parte desta experiência a uma maioria de interessados (eu incluído) recrutada em várias regiões do Brasil.

Para mim não estava sequer clara a viabilidade de uma carreira matemática no Brasil. Eu havia me formado em Engenharia Civil no Recife, vindo das Alagoas. Engenharia era, naqueles tempos e lugares, a única opção possível para alguém interessado em Física ou Matemática. Mas a prática de Engenharia estava muito distante de meus interesses iniciais. Deixei o emprego de engenheiro e fiquei como Assistente contratado da Universidade do Recife. O salário dava para manter alma e corpo unidos e me deixava as tardes inteiramente livres para estudar. Em virtude de razões que não vêm ao caso agora, decidi interessar-me por Geometria Diferencial, também conhecida como Aplicações da Análise à Geometria. Comecei então a aprender o que me era possível de Análise.

Neste ponto, o Colóquio de 1957 teve uma influência decisiva. Por um lado, descobri que precisava aprender muito mais coisas do que eu imaginava, se quisesse dar alguma contribuição ao que estava acontecendo em Geometria Diferencial no resto do mundo. Por outro lado, ficou claro para mim que existia no Brasil o gérmen de uma comunidade matemática, que o que havia desejado era possível e, mais do que isso, que era o caminho do futuro.

De volta para o Recife, iniciei o penoso processo de tentar aprender coisas inteiramente novas nas quais nem eu, nem as pessoas que me eram acessíveis, tinham qualquer experiência. Não quero entrar em detalhes, mas é óbvio que o processo teria sido abandonado, por frustração e desânimo. Felizmente, decidi em 1959 fazer um estágio no IMPA, onde encontrei de novo um ambiente matematicamente estimulante, e de onde saí em 1960 para fazer um Doutorado no exterior.

Quis apresentar este relato simplesmente para dar uma idéia dos descaminhos que se apresentavam a um interessado em Matemática na década dos '50. Espero não ter exagerado nas cores. Em verdade, qualquer matemático brasileiro da minha geração poderia contar uma história semelhante.

Na década de 60 aumentou consideravelmente o número de brasileiros que foram fazer um Doutorado de Matemática no exterior. Os cursos de Mestrado começaram a se espalhar pelo Brasil. Os Colóquios de Matemática continuaram a se reunir a cada dois anos, criando uma tradição singular e influenciando fortemente os rumos da Matemática brasileira. No 7° Colóquio, em 1969, é criada a Sociedade Brasileira de Matemática, e o 8° Colóquio em 1971 já contava com 400 participantes.  
 

Já é possível a um jovem interessado em Matemática chegar rapidamente à fronteira e contribuir, enquanto jovem, para o desenvolvimento da Matemática.  

Na década de 70, nota-se nitidamente um salto qualitativo, conseqüência do esforço e entusiasmo das décadas anteriores. Pesquisa de boa qualidade começa a ser produzida dentro do Brasil. O IMPA monta um bem sucedido Programa de Doutorado que em 15 anos produz mais de 60 doutores, a maior parte dos quais se espalha pelo Brasil, do Amazonas ao Rio Grande do Sul. Vários matemáticos brasileiros são convidados a expor seus trabalhos no Congresso Internacional de Matemáticos, que se reúne a cada quatro anos para discutir a nata do que foi feito neste intervalo. O Brasil passa da posição l para a posição 3, em uma classificação de l a 5, na União Matemática Internacional.

A situação atual é radicalmente diferente daquela da década de 50. Hoje existe uma comunidade matemática brasileira que embora pequena em termos de necessidade do Brasil, é ativa e possui um nível de qualidade e seriedade respeitado aqui e no exterior. Já é possível a um jovem interessado em Matemática chegar rapidamente à fronteira e contribuir, enquanto jovem, para o desenvolvimento da Matemática. Esta é a herança que iremos transmitir às futuras gerações de matemáticos brasileiros.

Quando mencionei, no início, que não concordava inteiramente com a afirmação que a Matemática é uma velha ciência cultivada por jovens, eu tinha em mente as realizações da atual geração de matemáticos brasileiros. À luz do exposto, permitam-me modificar ligeiramente a afirmação para uma com a qual concordo sem restrições: A Matemática é uma velha ciência que precisa de jovens.  

A Matemática é uma velha ciência que precisa de jovens.  

Os jovens vencedores que ora saudamos poderão fazer parte da futura geração de matemáticos brasileiros. Eles demonstraram possuir uma qualidade que é fundamental para um matemático, ou seja, a habilidade e o interesse em resolver problemas. Jovens deste calibre são necessários à Matemática aqui e alhures, e nada nos daria mais prazer do que ver a nossa velha Matemática cercada dos jovens que ela precisa. Em nome da comunidade matemática brasileira, congratulo-me com estes jovens e espero reencontrá-los breve.  

Manfredo Perdigão do Carmo nasceu em Maceió, onde foi aluno do Professor Benedito de Morais. Formou-se em Engenharia no Recife, foi professor de Matemática no ITA (São José dos Campos, SP) e na Universidade Federal de Pernambuco. De lá saiu para um estágio no IMPA (Rio de Janeiro, RJ), seguido de estudos na Universidade da Califórnia (Estados Unidos), onde obteve seu grau de doutor. Foi presidente da SBM. Hoje é pesquisador no IMPA e seu campo de trabalho é a Geometria Diferencial.  

 

II Olimpíada Ibero-americana de Matemática  

Realizou-se no Uruguai, em fins de janeiro p.p., a II Olimpíada Ibero-americana de Matemática da qual participaram 11 países.

Como vem fazendo desde 1979, em relação a eventos congêneres, a SBM selecionou a equipe brasileira assim constituída: Felipe Fritz Braga, Herbert César Gonçalves, Marcelo Ricardo Xavier de Mendonça e Ralph Costa Teixeira, liderados pelo professor Ângelo Barone Netto, da Comissão de Olimpíadas da SBM. A seleção desta equipe baseou-se, principalmente, nos resultados da VIII Olimpíada Brasileira de Matemática.

Todos os estudantes da equipe que representou o Brasil foram premiados: Ralph ganhou uma medalha de ouro, Felipe e Marcelo, medalhas de prata e Herbert (que tem 15 anos e na ocasião terminara apenas o lº ano do 2° grau) obteve uma medalha de bronze.

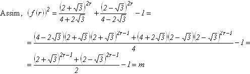
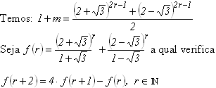
Dos seis problemas que constituíram a II Olimpíada Ibero-americana, seguem os três propostos no 1° dia da competição e a solução do 3° problema, apresentada por Felipe e que lhe valeu um prêmio especial pela sua concisão e elegância.

2. Em um triângulo ABC, M e N são os pontos médios respectivos dos lados AC e AB e P é o ponto de intersecção de BM e CN. Demonstre que, se for possível inscrever uma circunferência no quadrilátero ANPM, então o triângulo ABC será isósceles.

 

     Solução de Felipe Fritz Braga do Problema 3:  

Como f(0) e f(1) são inteiros, indutivamente, f(r) é inteiro, r IN.

 


 

Olimpíadas — 87  

    a XXVIII Olimpíada Internacional de Matemática, em Cuba. (julho);

   a IX Olimpíada Brasileira de Matemática (15 de agosto);

   e muitas Olimpíadas Regionais. Veja nas RPMs 8 e 9 a quem se dirigir para obter maiores informações.