2600 zeros no Vestibular! E como ficamos?

 

 Márcio Cintra Goulart 
Escola de Aplicação — USP  

Acompanhando nossos alunos, quando têm de competir, seja nos chamados "vestibulinhos" ou nas provas de concursos públicos e testes nas empresas, nas olimpíadas de Matemática e principalmente no vestibular, pudemos notar que eles comumente lamentam não se "lembrar" mais das "fórmulas" no momento das provas.

Isto acontece em muitos assuntos, mesmo com alunos que fazem revisões (em sua escola, ou nos cursinhos, ou por iniciativa própria). Neste número da Revista pretendemos abordar um exemplo bem ilustrativo disto, dos conteúdos lecionados no 2.° grau. Trata-se do assunto progressões, que damos na 1.ª série, à altura do 2.° bimestre.  

 

     Por que milhares de notas zero?  

No vestibular da Fuvest de 86, entre as questões da prova de Matemática (aquela dos 2600 zeros) da 2.ª fase, existia uma de progressão aritmética:  

Questão 06

a) Prove que numa P.A (a1, a2, a3, ...), a1 +  a9 = a2 +  a8.  

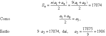
b) Sabendo que a soma dos 9 primeiros termos de uma P.A. é 17 874, calcule seu 5° termo.

Havia algumas questões mais fáceis que esta, sobre tópicos lecionados no 2.° grau, ou no 1.° grau. No entanto, houve milhares de zeros, para candidatos já previamente selecionados na 1 fase.
Quanto a isso, qual é a responsabilidade da escola? E a nossa, como professores? É necessário repensar; há que se reformular a abordagem, o modo de fazer, a orientação, tudo. Quando propusemos aos nossos alunos de
1.° colegial a questão da Fuvest, ao mesmo tempo que outros professores da equipe que coordenamos o faziam em suas classes, foi para todos nós gratificante receber de muitos alunos, para
o item b), a solução:

a5 = 17 874 : 9 = l 986

Direta, informal, correta! Solução de quem sabe e viu que o 5° elemento é a média (aritmética) dos 9 elementos e portanto, para obtê-lo, basta dividir a soma por 9. Isto, em lugar da solução "comum" nestes casos:


Quanto ao item a), sem comentário; todos o acharam realmente muito fácil.  

 

     Como temos feito  

Vamos relatar o tratamento que temos dado a um assunto que, ao contrário do que supõem alguns, não é nada fácil para os alunos: progressões.

Após uma introdução a seqüências em geral, planejada naturalmente para ser útil no que viria adiante, passamos a um estudo das progressões aritméticas e, depois, das geométricas.

É um estudo em que, de início, nem precisamos de fórmulas. Estas, quando surgirem, de modo natural, serão uma síntese de um raciocínio; não precisam ser propriamente "lembradas" no momento de resolver problemas, sendo para isto, no mais das vezes, dispensáveis mesmo.

O aluno que entendeu bem a lei de formação de uma seqüência aritmética enxerga facilmente que o seu 19.° elemento pode ser colocado como

(para "ir" de a1 até a19 , na seqüência, são 18 "passos"...).

Do mesmo modo, a50 = a1 + 49r, a4 = a1 +3r, a2 = a1 + r. 

O termo geral da seqüência surge como uma formalização final. 

Raciocinando ainda sobre o número de "passos", digamos de a11 até a20.

— que seriam 9 passos, (20 - 11) passos, não? — os alunos percebem (e em seguida passam a utilizar) que  

Assim também, numa seqüência geométrica, eles fazem diretamente:

e os melhores alunos chegam a observar que

e depois usam isto nas questões e problemas que resolvem.  

 

     Para a soma dos elementos  

Ao introduzir a soma de elementos em progressão aritmética é sempre motivador e instigante para os alunos o célebre feito de Gauss, na escola, ainda menino, obtendo a soma dos números naturais de l a 100 (RPM 4, p. l).
Em seguida, enfatizamos o papel da média simples dos n elementos de uma progressão aritmética finita, independente do fato de que seja ou não um elemento da seqüência (já que podemos estar tomando um número ímpar ou número par de termos consecutivos). Convencendo-se o estudante de que esta média, no caso de progressão aritmética, seqüência bem "comportada" quanto a eventual crescimento (ou decrescimento), é justamente a média dos elementos extremos da sucessão, isto é,

a soma S é obtida imediatamente, como n vezes a média, ou seja,

 

Assim obtido, este resultado é incorporado pelo aluno, como síntese de um raciocínio, e fica.

Pode-se fazer ainda a observação de que tal resultado vale também para uma seqüência constante, embora não haja maior interesse em aplicá-lo nestes casos.  

 

Márcio Cintra Goulart é licenciado em Matemática pela Universidade de São Paulo e co-autor de alguns "best-sellers" — Matemática — 2° grau (os "Pretinhos") e Tópicos. Publica atualmente seus livros de 2° e 1° graus, estes no PNLD-FAE, pela Editora Nacional. No momento trabalha na Escola de Aplicação da Faculdade de Educação da USP e em mais dois colégios de São Paulo. A convite de Secretarias da Educação e Escolas, tem percorrido vários Estados, dando cursos e palestras.

Endereço: Caixa Postal. 5312
03016 - São Paulo, SP Tel. (011)212-2432