|  | 
 | 
     | |||
|  | |||||
| 
 A Geometria Combinatória se ocupa com a contagem de objetos geométricos. A Geometria Clássica, dos gregos, nunca tratou de tais problemas. Resultados típicos de Geometria Combinatória são: Dados n pontos no plano, o número de retas distintas que 
eles determinam é, no 
máximo, 
 
Dados n pontos no plano
 
entre eles 
é, pelo menos, 
 
(A demonstração deste fato 
é um pouco mais difícil do que a do anterior.  Um problema bem conhecido é o de saber quantas regiões do plano são determinadas por n retas nele situadas; ou ainda o de saber em quantas regiões n planos decompõem o espaço. As situações descritas pelas figuras abaixo são facilmente tratadas. Na primeira situação, em que n retas paralelas dividem o plano, teremos uma decomposição em n + 1 regiões. Na segunda, se tivermos um feixe de n retas concorrentes em um ponto, teremos 2n regiões. Estes resultados podem ser facilmente demonstrados. 
 Figura l Proposição l. Dadas n retas paralelas no plano, elas o dividem em n + 1 regiões disjuntas. Demonstração: Seja h2(n) o número de regiões em que n retas paralelas decompõem o plano. Então, ao traçarmos mais uma reta, paralela às n primeiras, obtendo assim n + 1 retas paralelas, o número h2 (n + l) de regiões em que estas n + 1 retas decompõem o plano será: h2(n + l) = h2(n) + l (A) 
pois a nova reta decomporá 
uma das regiões em duas, ou seja, dará origem a mais uma região. Temos assim o 
resultado descrito por (A), qualquer que seja o valor de n
 A fórmula (A) é uma fórmula de recorrência. Ela nos permite achar uma expressão para h2(n) em função de n. Com efeito: 
 
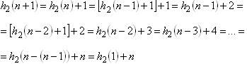
 Como h2(l) = 2, o número de regiões em que uma reta divide o plano, temos enfim: h2 (n + l) = n + 2 ou ainda h2 (n) = n + 1 (B) Caso o leitor não goste da demonstração acima, poderá fazer outra, por indução matemática, como abaixo. Obviamente, h2 (1) = 2 Suponha agora que (B) seja válida para n. Então, para n + 1, temos: h2 (n + l) = h2 (n) + l visto que a (n + l)-ésima reta aumenta de um o número de regiões. Então, como estamos supondo, pela hipótese de indução, que h2 (n) = n + l, teremos: h2 (n + l) = (n + l) + l = n + 2 que é a fórmula (B) para o caso n + l, o que conclui a demonstração. A desvantagem da demonstração por indução matemática é que ela exige que saibamos, de antemão, qual a resposta procurada. A demonstração do seguinte resultado é inteiramente análoga e deixada ao leitor: Proposição 2. Sejam dadas, em um plano, n retas concorrentes em um ponto. O número de regiões em que elas decompõem o plano é 2n. 
 O mesmo não acontece nos exemplos abaixo: 
  Figura 3 Na Fig. 3, à esquerda, L1 é paralela a L2; à direita, L1 L3 e L4 concorrem em um ponto. Procuremos então determinar o número de regiões, h2 (n), em que n retas em posição geral decompõem o plano. 
 (Observe que h1(n) = h1 (n - 1) + l, pois se a reta estiver dividida em = h1 (n - 1) partes por n - l pontos, a introdução de mais um ponto dividi-rá uma das partes já existentes em duas, ou seja, aumentará de l o número das partes. Então, raciocinando por recorrência, vemos que: 
 (Observação. Você notou que o raciocínio feito acima é essencialmente o usado para demonstrar a proposição l? Em verdade, a proposição l e o resultado acima sobre h1 são equivalentes. Para ver isso, dado um feixe de paralelas, trace uma secante L ao feixe e reciprocamente, dada uma reta sobre a qual estão escolhidos n pontos, por cada um deles trace uma perpendicular à reta dada.) 
 Figura 5 Figura 6 
Voltemos agora ao nosso 
problema sobre a divisão do plano por retas. Suponhamos n 
 
Adicionemos ao conjunto {L1, 
L2, ..., Ln - 1} a n-ésima 
reta, Ln; como o conjunto  Observe, além disso, que cada uma das partes em que Ln está dividida divide uma região do plano em duas, ou seja, cada parte de Ln dá origem a mais uma região do plano; assim: 
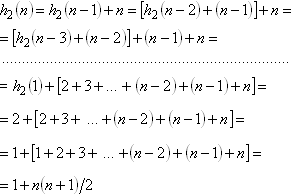
h2(n) 
= h2(n
 ou seja h2(n) = h2(n - l) + n, visto que h1( n - l ) = n. Então: 
 Observemos, para fins de generalização posterior, que 
 
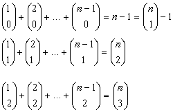
 Os raciocínios expostos acima constituem uma demonstração dos seguintes resultados: Teorema l. O numero de partes h1(n) em que n pontos distintos dividem uma reta é: 
 Teorema 2. O numero de partes h2(n) em que n relas em posição geral dividem o plano é: 
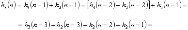
 Atacaremos agora o problema de determinar como n planos em posição geral dividem o espaço. Em primeiro lugar, é necessário definir posição geral para planos. Com isso queremos dizer que entre eles não há pares de planos paralelos, nem teremos ternos de planos que se cortam segundo uma mesma reta. 
Procederemos de maneira 
análoga aos casos já tratados. Ou seja, suporemos n - l planos em
posição geral, 
Observe que os n - 
l primeiros planos,
 
É agora fácil de ver que 
cada uma destas h2(n - l) regiões de 
 
 Lembremos agora o seguinte resultado, que pode ser facilmente demonstrado usando indução matemática (faça-o!). 
 
 
 
 e temos por fim 
 
 Demonstramos assim o seguinte resultado: 
 Teorema 3. O número de regiões em que n planos em posição geral dividem 
 Podemos portanto resumir nossos resultados como segue: 
 Teorema 4. Sejam: h1(n) - o número de partes em que n pontos distintos dividem uma reta, h2(n) - o número de regiões em que n retas em posição geral dividem o plano, h3(n) - o número de regiões em que n planos em posição geral dividem o espaço. Então 
 Bibliografia 
(1)  
Berman, G. e Fryer, K. D. — An Introduction to 
Combinatorics — A. P., cap. I.  
 
 |